Врачебный контроль
— это комплексное медицинское обследование физического развития и функциональной подготовленности занимающихся физической культурой и спортом.
Он дает возможность своевременно выявлять отклонения в состоянии здоровья, а также планировать тренировочные нагрузки без ущерба для здоровья занимающихся.
Основная форма врачебного контроля — врачебное обследование
.
Периодичность врачебного контроля или осмотра зависит от квалификации, а также от видов спорта. Студенты проходят врачебный осмотр в начале учебного года, спортсмены — 2 раза в год.
Врачебное обследование подразделяется на первичное, повторное и дополнительное.
Первичное обследование
проводится, чтобы решить вопрос о допуске к регулярным занятиям физическими упражнениями и спортом.
Повторное врачебное обследование
проводится, чтобы убедиться, насколько соответствует объем и интенсивность нагрузки состоянию здоровья, а также для того, чтобы корректировать учебно-тренировочный процесс.
Дополнительные врачебные обследования
проводятся для того, чтобы решить вопрос о возможности приступить к тренировкам после перенесенных заболеваний или травм, при неблагоприятных субъективных ощущениях, а также перед соревнованиями по направлению преподавателя физического воспитания или тренера.
Основное предназначение медицинского осмотра в том, чтобы определить состояние здоровья студентов и распределить их по группам: основной, подготовительной, специальной. Кроме этого некоторая часть студентов совсем освобождается от практических занятий на какое-то время. Обычно такое обследование проводится визуальными методами и путем опроса, а также с помощью анкетирования. Если специалисты затрудняются определить состояние здоровья студента, его направляют на более детальное обследование к специалистам.
Углубленной формой врачебного наблюдения является диспансеризация
— система мероприятий по укреплению здоровья и длительному сохранению высокой спортивной работоспособности, направляемая на то, чтобы предупредить и выявить ранние признаки нарушения здоровья и функционального состояния.
Гармоничное физическое развитие и здоровье связаны с правильной осанкой. Она является одним из свойств телесной красоты человека и в определенной степени выражает внешне его поведенческие черты (чувство достоинства, собранность и т.п.).
Диспансерному наблюдению подлежат спортсмены-разрядники, учащиеся детско-юношеских спортивных школ, спортсмены, имеющие отклонения в состоянии здоровья и нуждающиеся в систематическом квалифицированном врачебном наблюдении физической культуры и спорта в вузе.
Мероприятия врачебного контроля
направлены на исключение условий, при которых может иметь место отрицательное воздействие занятий физическими упражнениями и спортом.
Врачебный контроль в вузе проводится в следующих формах:
регулярные медицинские обследования занимающихся физической культурой и спортом (первичные, повторные, дополнительные);
врачебно-педагогические наблюдения за студентами во время занятий и соревнований;
медицинское обеспечение физического воспитания студентов в учебных отделениях;
санитарно-гигиенический контроль за местами и условиями проведения занятий и спортивных соревнований;
предупреждение спортивного травматизма и заболеваемости;
медицинское обслуживание массовых оздоровительных, физкультурных и спортивных мероприятий, а также мероприятий, проводимых в оздоровительно-спортивных лагерях;
санитарно-просветительная работа и пропаганда физической культуры и спорта в вузе.
При определении физического развития
проводят внешний осмотр (соматоскопия) и антропометрию (соматометрию).
Внешний осмотр (соматоскопия)
дает возможность оценить телосложение, состояние опорно-двигательного аппарата (форму грудной клетки, ног, рук, стопы), осанку.
Антропометрия
предполагает в основном измерение следующих параметров человеческого тела: рост (стоя), масса тела, окружность грудной клетки, жизненная емкость легких (ЖЕЛ), мышечная сила.
Осанка
— привычная поза непринужденно стоящего человека без активного мышечного напряжения.
В сохранении правильной осанки главную роль играет не сила мышц, а согласованность произвольного и непроизвольного тонического напряжения различных мышечных групп.
Гармоничное физическое развитие и здоровье связаны с правильной осанкой. Она является одним из свойств телесной красоты человека и в определенной степени выражает внешне его поведенческие черты (чувство достоинства, собранность и т.п.).
Различают 5 типов осанки: прямой
, прогнутый
, сутулый
, наклонный
, изогнутый
(рис. 34.1
).
Нормальным считается прямой тип осанки. Остальные в той или иной степени относятся к аномалиям.
Правильное положение частей тела при нормальной осанке следующее:
стопы на ширине ступни, параллельны;
колени выпрямлены;
живот подтянут;
туловище вертикально, угол наклона таза — 45°;
плечи отведены назад и опущены, лопатки приближены к позвоночнику;
руки свободно опущены по средней линии туловища;
голова прямо, лоб и подбородок располагаются на одной вертикальной линии.
В норме не должно быть боковых искривлений позвоночника — сколиозов
. Сколиозы бывают грудные
, поясничные
, тотальные
, а по направлению — лево-
или правосторонние
и S-образные
(рис. 34.2
).
Форма грудной клетки бывает коническая
, цилиндрическая
и уплощенная
(рис. 34.3
). Занятия физическими упражнениями, спортом способствуют увеличению объема грудной клетки, ее диаметров.
У спортсменов чаще наблюдается цилиндрическая форма. Для не занимающихся спортом характерна коническая форма грудной клетки. У взрослых, ведущих малоподвижный образ жизни, наблюдается уплощенная грудная клетка.
У лиц с уплощенной грудной клеткой может быть снижена дыхательная функция.
Наблюдается нормальная
, X-образная
и О-образная
форма ног (рис. 34.4
).
При нормальной форме ног в основной стойке пятки, внутренние лодыжки, икры, внутренние мыщелки и вся внутренняя поверхность бедер или соприкасаются, или между ними есть небольшие просветы в области коленей и над внутренними лодыжками.
При О-образной форме ноги соприкасаются только в верхней части бедер и в области пяток.
При Х-образной форме ноги сомкнуты в области бедер и коленных суставов и расходятся в области голени и пяток. О- и Х-образные ноги могут быть результатом перенесенных заболеваний, недостаточного развития мышц или результатом перенесения детьми или подростками больших физических нагрузок, не соответствующих степени развития костей и мышц нижних конечностей.
С помощью специально подобранных физических упражнений, особенно в детском, подростковом и юношеском возрасте, можно сгладить некоторые нежелательные признаки или отклонения в телосложении.
У спортсменов, как правило, ноги бывают нормальные или слабо выраженной О-образной формы.
Форма стопы может быть полая
, нормальная
, уплощенная
и плоская
(рис. 34.5
).
Форму стопы определяют путем наружного осмотра или посредством их отпечатков.
По внешним признакам физического развития можно определить тип сложения человека
.
Различают астенический
, нормостенический
и гиперстенический типы сложения
(рис. 34.6
).
Астенический тип характеризуется длинными и тонкими конечностями, узкими плечами, длинной и тонкой шеей, длинной, узкой и плоской грудной клеткой, слабо развитыми мышцами.
Люди нормостенического типа имеют пропорционально развитые основные формы тела: правильное соотношение продольных и поперечных размеров, коническую или цилиндрическую форму грудной клетки, умеренное развитие костной системы, мышечной и жировой ткани.
Признаками гиперстенического типа являются: короткие конечности, массивная костная система, короткая и толстая шея, широкая, короткая грудная клетка, хорошо развитая мускулатура.
С помощью специально подобранных физических упражнений, особенно в детском, подростковом и юношеском возрасте, можно сгладить некоторые нежелательные признаки или отклонения в телосложении.
Рост (длина тела)
— важный показатель физического развития. У девушек длина тела увеличивается до 17—19 лет, у юношей — до 19—22 лет.
На рост влияет много факторов: питание, заболевания (особенно желез внутренней секреции, таких как гипофиз, щитовидная железа, надпочечники), географическая среда и климатические условия, двигательная нагрузка. Но прежде всего на рост влияет наследственность.
По мнению специалистов, рост детей можно прогнозировать по росту родителей, применяя следующие формулы:
окончательная длина тела мальчиков = (рост отца + рост матери) ? 0,54 — 4,5;
окончательная длина тела девочек = (рост отца + рост матери) ? 0,51 — 7,5.
Принимая во внимание должные показатели роста, можно дать оценку темпам роста (табл. 34.1).
Таблица 34.1.
Рост мальчиков и девочек (в %) от окончательной величины роста взрослого человека
Возраст, лет |
Процент от окончательной величины роста взрослого человека |
|
Мальчики |
Девочки |
|
10 |
78,75 |
84,15 |
11 |
80,68 |
86,59 |
12 |
83,24 |
92,07 |
13 |
86,65 |
94,51 |
14 |
90,06 |
96,95 |
15 |
94,60 |
97,26 |
16 |
98,29 |
98,78 |
17 |
99,32 |
99,70 |
18 |
99,77 |
100 |
19 |
99,89 |
100 |
20 |
100 |
100 |
Пример.
Рост отца — 171 см., матери — 160 см. Получается, что должный рост их сына — 174,24 см, а в 10 лет у него рост 133 см. Это составляет 76% от должного. По таблице рост 10-летнего мальчика должен составлять 78,75%. Значит в приведенном примере рост мальчика пока отстает.
Масса тела
включает: жир тела, вес скелета, скелетные мышцы и воду.
Выделяют относительно активную в энергетическом отношении массу тела (клеточная вода, все белки и весь минерал в клетках и внеклеточной жидкости) и относительно малоактивную (жир тела, костный минерал, внеклеточная вода).
Путем определения индекса активной массы (ИАМ)
можно определить степень развития мускулатуры:
M — активная масса тела (кг);
R — рост тела (м).
Чем выше тренированность, тем выше ИАМ. Например, у подростков, не занимающихся спортом, ИАМ составляет 0,77—0,86, а у спортсменов — 0,98—1,04.
На практике для получения оперативной информации, как правило, ограничиваются определением весовых значений общего жира, мышечной массы, массы скелета и подкожного жира.
Жизненная емкость легких (ЖЕЛ)
— это количество воздуха, которое индивидуум способен выдохнуть после максимально глубокого вдоха.
Жизненная емкость легких измеряется с помощью спирометра
. Обследуемый предварительно 2—3 раза делает глубокий вдох и выдох, а затем, сделав максимальный вдох, плотно берет в рот мундштук спирометра и, зажав свободной рукой нос, равномерно выдыхает воздух до отказа. Измерение проводится три раза, учитывается наибольший показатель.
ЖЕЛ зависит от пола, возраста, размеров тела, состояния тренированности.
Для измерения сгибательной силы кисти
используют метод кистевой динамометрии
.
Динамометр берут в руку циферблатом внутрь. Руку вытягивают в сторону на уровне плеча и максимально сжимают динамометр. Проводятся по два измерения на каждой руке, фиксируется лучший результат. Средние показатели силы правой кисти (если человек правша) у мужчин — 35—50 кг, у женщин — 25—33 кг, средние показатели силы левой кисти обычно на 5—10 кг меньше.
Любой показатель силы обычно тесно связан с объемом мышечной массы, т.е. с массой тела. Поэтому при оценке результатов динамометрии важно учитывать как основную абсолютную силу, так и относительную, т.е. отнесенную с массой тела. Они выражаются в процентах. Для этого показатель силы правой кисти умножается на 100 и делится на показатель массы тела. Средние показатели относительной силы у мужчин — 60—70% массы тела, у женщин — 45—50%.
Сила мышц разгибателей спины
измеряется становым динамометром.
Его ножка закрепляется на полу (или на нее становятся ногами), ручка устанавливается на уровне коленей. Обследуемый должен равномерно, без рывков тянуть за ручку с максимальной силой, сохраняя прямыми руки и ноги.
Становую силу нельзя измерять при болях в пояснице, при повреждении мышц живота и спины, а у женщин — во время менструации и при беременности.
Становая сила взрослых мужчин в среднем равна 130—150 кг, женщин — 80—90 кг.
Показатель относительной силы определяется как и при кистевой динамометрии и в среднем составляет 180—240%.
Величина относительной становой силы менее 170% считается низкой, 170—200% — ниже средней, 200—230% — средней, 230—250% — выше средней, выше 260 — высокой.
После проведения внешнего осмотра и антропометрических измерений обследуемого можно приступить к оценке уровня его физического развития.
Уровень физического развития
оценивается с помощью трех методов:
1) антропометрических стандартов с вычерчиванием антропометрического профиля;
2) корреляции;
3) антропометрических индексов.
Антропометрические стандарты
физического развития определяются путем вычисления средних величин антропометрических данных, полученных при обследовании различных групп людей, одинаковых по полу, возрасту, социальному составу, профессии др.
Средние величины (стандарты) антропометрических признаков определяются методом математической статистики. Для каждого признака вычисляют среднюю арифметическую величину (М-mediana) и среднее квадратическое отклонение (s-сигма), которое определяет границы однородной группы (нормы) для каждого признака и характеризует величину его колебаний (вариаций). Так, например, если мы возьмем средний рост студентов 173 см (М) ± 6(s), то большинство обследованных (68—75%) имеют рост в пределах от 167 см (173 — 6,0) до 179 см (173 + 6,0), у остальных рост может быть или меньше 167 см, или больше 179 см.
При определении оценки по стандартам сначала определяется, насколько ваши показатели больше или меньше аналогичных показателей по стандартам.
Например, ваш рост 181,5 см, а средний показатель по стандартам (М) равен 173 см (при s = 6), значит ваш рост на 8,5 см больше по сравнению со средним (181,5 — 173 = 8,5). Затем полученная разница делится на показатель s. Оценка данного антропометрического признака определяется в зависимости от величины полученного частного: меньше -2,0 — очень низкое; от -1,0 до -2,0 — низкое; от -0,6 до -1,0 — ниже среднего; от -0,5 до +0,5 — среднее; от +0,6 до +1,0 — выше среднего; от +1,0 до +2,0 — высокое; больше +2,0 — очень высокое.
Индивидуальные отклонения антропометрических признаков от средних стандартов физического развития можно наглядно представить в виде антропометрического профиля
(рис. 34.7
). При наличии показателей ниже средних и низких по отдельным признакам в занятия физическими упражнениями и спортом рекомендуется включать специальные упражнения, способствующие ликвидации имеющихся недостатков в физическом развитии.
Наряду с антропометрическим профилем в практике врачебного контроля применяются номограммы
— графики геометрических величин, используемые при расчетах физического развития и физической работоспособности. Для оценки массы с учетом роста в номограмме необходимо найти фактическую массу и рост обследуемого, например 70 кг и 170 см, восстановить из найденных точек перпендикуляры до их пересечения. Из точки пересечения провести мысленно вправо вверх линию, параллельную линии М. Эта «мысленная» линия на правой стороне номограммы выходит на середину между точками М и +1. Следовательно, оценка массы по росту будет +0,5, т.е. в пределах средних значений.
Недостаток метода стандартов заключается в том, что в качестве показателя изменчивости признаков физического развития используется среднее квадратическое отклонение. Вместе с тем известно, что этот статистический показатель может служить мерилом изменчивости только для свободных, т.е. не связанных друг с другом признаков.
Для связанных признаков (какими являются показатели физического развития) используются параметры, которые позволяет получить метод корреляции
.
Метод корреляции основан на том, что физическое развитие различных частей тела взаимосвязано между собой. Эта связь (корреляция) может быть положительной, когда при увеличении, например, роста увеличивается вес тела, и отрицательной, при которой одно увеличение вызывает уменьшение другого.
Между массой тела и мышечной силой есть известное соотношение. Обычно чем больше мышечная масса, тем больше сила.
Эта взаимосвязь может быть выражена математически в виде коэффициента корреляции
(связи), обозначаемого буквой R, предельное значение которого равно 1. Связь между признаками будет тем теснее, чем ближе значение R будет приближаться к единице.
С помощью коэффициента корреляции вычисляется коэффициент регрессии
(b), который показывает, на какую величину изменится одна величина, если другая, связанная с ней, изменяется на единицу. Для оценки физического развития методом корреляции разрабатываются специальные таблицы.
Хотя этот метод не дает возможности полностью характеризовать те или иные данные, он позволяет периодически делать ориентировочные оценки изменений пропорциональности физического развития. Приводим способы вычисления наиболее часто применяемых антропометрических индексов:
Весо-ростовой показатель
. Вычисляется делением массы тела на его длину. В норме частное от деления должно равняться 350—400 г/см для мужчин и 325—375 г/см для женщин. Данные весо-ростового показателя говорят об излишке массы или наоборот.
Росто-весовой показатель
вычисляется по формуле:
Рост (см) — 100 = масса (кг)
Результат показывает нормальную для человека данного роста массу тела. Это наиболее простой и общедоступный показатель.
Однако вычитание цифры 100 применимо лишь для оценки росто-весового показателя взрослых людей низкого роста (155—165 см). При росте 165—175 см надо вычитать не 100, а 105 единиц, при росте 175—185 см — 110 единиц. Например, при росте 173 см масса должна быть равна 68 кг (173 — 105 = 68).
Зная длину тела в двух положениях, можно найти коэффициент пропорциональности
(КП), который измеряется в процентах:
L1 — длина тела в положении стоя;
L2 — длина тела в положении сидя.
В норме КП = 87—92%. Коэффициент имеет определенное значение при занятиях спортом. Лица с низким КП имеют при прочих равных условиях более низкое расположение центра тяжести, что дает им преимущество при выполнении упражнений, требующих высокой устойчивости тела в пространстве (горнолыжный спорт, прыжки с трамплина, борьба и др.). Лица, имеющие высокий КП (более 92%), имеют преимущество перед лицами с низким КП в прыжках, беге. У женщин коэффициент пропорциональности ниже, чем у мужчин.
Жизненный показатель
определяется делением ЖЕЛ на массу тела. Частное от деления ниже 65—70 см3/кг у мужчин и 55—60 см3/кг у женщин свидетельствует о недостаточной жизненной емкости легких или об избыточном весе.
Силовой показатель
(СП). Между массой тела и мышечной силой есть известное соотношение. Обычно чем больше мышечная масса, тем больше сила. Силовой показатель определяется по формуле и выражается в процентах:

Для сильнейшей кисти этот показатель равен 65—80% для мужчин и 48—50% для женщин.
Индекс пропорциональности развития грудной клетки
равен разности между величиной окружности грудной клетки (в паузе) и половиной длины тела. Нормальная разница должна составлять 5—8 см для мужчин и 3—4 см для женщин. Если разница равна или превышает названные цифры, то это указывает на хорошее развитие грудной клетки. Если она ниже указанных величин или имеет отрицательное значение, то это свидетельствует об узкогрудии.
Показатель крепости телосложения
выражает разницу между длиной тела и суммой массы и окружности грудной клетки на выдохе.
Например, при росте 181 см, массе 80 кг, окружности грудной клетки 90 см этот показатель будет равен 181 — (80 + 90) = 11.
У взрослых разность меньше 10 можно оценивать как крепкое телосложение, от 10 до 20 — как хорошее, от 21 до 25 — как среднее, от 26 до 35 — как слабое и более 36 — как очень слабое телосложение.
Следует, однако, учитывать, что показатель крепости телосложения, который зависит от развития грудной клетки и массы тела, может ввести в заблуждение, если большие значения массы тела и окружности грудной клетки отражают не развитие мускулатуры, а являются результатом ожирения.
Физическую подготовленность
спортсменов можно определить с помощью функциональных проб или, как принято называть их в педагогике, тестов и контрольных упражнений.
Резкое учащение или замедление пульса по сравнению с предыдущими показателями может быть следствием переутомления или заболевания и требует консультации с преподавателем физического воспитания и врачом.
Функциональные пробы бывают общие (неспецифические) и со специфическими нагрузками, которые проводятся, как правило, в естественных условиях спортивной деятельности с нагрузками различной интенсивности.
Оценка функциональной подготовленности осуществляется также с помощью физиологических проб. К ним относятся контроль за частотой сердечных сокращений (ЧСС), а также ортостатическая проба, проба Штанге и проба Генчи, о которых более подробно сказано в разделе 36.
Как один из способов оценки физической подготовленности в практике физического воспитания в учебных заведениях используют обязательные тесты: бег на 100 м, подтягивание на перекладине, поднимание туловища из положения лежа, бег на 2000 м и на 3000 м., плавание. В начале учебного года тесты проводятся как контрольные, в конце — как фиксирующие изменения за прошедший учебный год.
Частота сердечных сокращений
(ЧСС) или пульс
— важный интегральный показатель функционального состояния организма.
Пульс рекомендуется подсчитывать регулярно в одно и то же время суток в состоянии покоя, лучше всего утром, после пробуждения, в положении лежа или вечером перед сном в положении сидя. Наблюдать пульс следует также до тренировки (за 3—5 мин.) и сразу после нее.
Резкое учащение или замедление пульса по сравнению с предыдущими показателями может быть следствием переутомления или заболевания и требует консультации с преподавателем физического воспитания и врачом.
Рекомендуется также следить за состоянием ритма и степенью наполнения пульса.
По величине ЧСС можно судить об интенсивности физической нагрузки.
Оптимальный диапазон интенсивности физической нагрузки находится в пределах ЧСС от 120 до 170 уд/мин. В этих же границах существует линейная зависимость между мощностью работы, потреблением кислорода и минутным объемом сердца.
Существенным моментом при использовании ЧСС для дозирования нагрузки является ее зависимость от возраста.
Известно, что по мере старения уменьшается возможность усиления сердечной деятельности за счет учащения сокращения сердца во время мышечной работы. Оптимальную ЧСС с учетом возраста при продолжительных упражнениях можно определить по следующим формулам.
Для начинающих:
ЧСС = 170 — А,
где А — возраст в годах.
Для занимающихся регулярно в течении 1—2 лет:
ЧСС = 180 — А
Занимающийся отдыхает стоя в основной стойке 3 мин. На 4-й минуте подсчитывается ЧСС за 15 с. с пересчетом на 1 мин. (исходная частота).
Далее выполняется 20 глубоких приседаний в течение 40 с. с подниманием рук вперед, разводом коленей в стороны, с сохранением туловища в вертикальном положении.
Сразу после приседаний вновь подсчитывается частота пульса в течение первых 15 с. с пересчетом на 1 мин.
Увеличение ЧСС после приседаний определяется сравнительно с исходной в процентах. Оценка для мужчин и женщин: отлично — 20 и менее, хорошо — 21—40, удовлетворительно — 41—65, плохо — 66—75, очень плохо — 76 и более.
В практике врачебного контроля применяется, как правило, комбинированная проба: 20 приседаний в течение 30 с., 15-секундный бег на месте в быстром темпе (180 шагов в мин.). Эта проба позволяет судить о приспособительных реакциях сердечно-сосудистой системы организма к скоростной работе и работе на выносливость.
Метод определения физической работоспособности PWC170
(от англ. Physical Working Capacity — физическая работоспособность) основывается на линейной зависимости между ЧСС и мощностью выполняемой работы.
PWC 170
— это мощность мышечной работы при ЧСС равной 170 уд/мин.
Пульс 170 уд/мин отражает оптимальную мобилизацию возможностей сердца, так как при этом еще сохраняется максимальный ударный объем сердца. Кроме того, линейная зависимость между ЧСС и мощностью мышечной работы сохраняется именно до пульса 170 уд/мин.
Для практического определения мощности работы, при которой ЧСС равняется 170 уд/мин, исследуемый выполняет работу 2 раза (желательно по 5 мин.) с разной мощностью (работа на велоэргометре, степ-тесты с повторным подъемом на разную высоту).
Возможен и такой вариант, при котором мышечная работа представляет собой бег, плавание, ходьбу на лыжах, езду на велосипеде с двумя разными скоростями.
Показатель физической работоспособности, при которой ЧСС равна 170 уд/мин, удобно рассчитать по формуле:
N1 и N2 — мощности первой и второй работы в кг/мин;
f1 и f2 — ЧСС при первой и второй нагрузках в уд/мин.
Тест разработан в Гарвардском университете в США (Брау, Дилл
) в 1942 г. С помощью Гарвардского степ-теста
количественно оцениваются восстановительные процессы после дозированной мышечной работы.
Тест заключается в повторных подъемах на ступеньку высотой 50 см для мужчин и 43 см для женщин и спусках с них в течение t = 5 мин с частотой 30 подъемов в минуту. Каждый подъем-спуск состоит из четырех шагов: 1-й шаг — правую ногу поставить на ступеньку, 2-й — левую, 3-й — правую ногу поставить на пол, 4-й шаг — левую (рис. 34.8
).
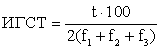
По окончании упражнения в положении сидя подсчитайте пульс в течение первых 30 с., 2, 3 и 4-й минут восстановления соответственно (f1, f2, f3). По полученным данным находим индекс степ-теста:
При полном выполнении теста, т.е. при поддержании в течение 5 мин. частоты подъемов 30 в минуту, общее время равно 300 с. Если же вы не сумели поддержать необходимую частоту подъемов, то работа прекращается, и тогда величину составит время работы до этого момента.
К. Купер
предложил характеризовать физическую (аэробную) работоспособность с помощью так называемого 12-минутного теста
.
Выполнить его очень легко. Необходимо пробежать в течение 12 мин. по любой трассе. Если трудно бежать все 12 мин., можно на любом отрезке дистанции заменить бег ходьбой или даже отдыхом.
Измеряется расстояние, которое вы преодолели за 12 мин. Это расстояние пропорционально способности организма к максимальному поглощению кислорода, то есть степени вашей подготовленности.
Уровень подготовленности в возрасте 18—25 лет можно определить по специальной таблице.
Пульс 170 уд/мин отражает оптимальную мобилизацию возможностей сердца, так как при этом еще сохраняется максимальный ударный объем сердца. Кроме того, линейная зависимость между ЧСС и мощностью мышечной работы сохраняется именно до пульса 170 уд/мин.
Применять этот тест без разрешения врача не рекомендуется.
Тест Купера целесообразно использовать после нескольких месяцев занятий бегом, когда вы уже легко преодолеваете дистанцию 2—3 км. Если во время тестирования появляется одышка, усталость, то надо немедленно прекратить занятия.