Интернет-курс по дисциплине
«Социальная психология»

Живица О.В.
Интернет-курс по дисциплине
«Социальная психология»
Содержание
Тема 1. Предмет, история и методы социальной психологии
Вопрос 1. Предмет, структура и методы социальной психологии.
Вопрос 2. История отечественной социальной психологии.
Вопрос 3. Зарождение зарубежной социальной психологии.
Перечень литературы и интернет-ресурсов:
Тема 2. Социальная психология личности
Вопрос 1. Представления о личности в отечественной социальной психологии.
Вопрос 2. Социальная установка личности.
Вопрос 3. Социализация личности.
Вопрос 4. Социально-психологические явления.
Перечень литературы и интернет-ресурсов:
Тема 3. Психология межличностного взаимодействия
Вопрос 1. Понятие межличностных отношений и их классификация.
Вопрос 4. Невербальные способы общения.
Перечень литературы и интернет-ресурсов:
Тема 4. Психология малых групп
Вопрос 1. Понятие и виды малых групп.
Вопрос 2. Структура и этапы развития малой группы. Групповая сплоченность.
Вопрос 3. Лидерство в малых группах.
Вопрос 4. Влияние группы на личность.
Перечень литературы и интернет-ресурсов:
Тема 5. Психология межгрупповых отношений
Вопрос 1. Межгрупповые отношения.
Вопрос 2. Процессы межгрупповой дифференциации и интеграции.
Вопрос 3. Причины возникновения предубеждений к представителям других групп.
Перечень литературы и интернет-ресурсов:
Тема 6. Психология больших групп и массовых психических явлений
Вопрос 1. Сущность и виды больших социальных групп.
Вопрос 3. Содержание понятий «психологический склад нации» и «национальный характер».
Перечень литературы и интернет-ресурсов:
Дисциплина входит в состав цикла специальных дисциплин. Она посвящена изучению базовых понятий и представлений современной науки управления и социальной психологии. «Социальная психология» один из основополагающих предметов в программе подготовки специалистов, поскольку ставит и решает проблемы, имеющие принципиальный характер для познания психологических особенностей и поведения работников; помогает понять и решить проблемы, возникающие в сфере общения и взаимодействия людей, что является необходимым для управления человеческими ресурсами. Понимание психологических механизмов социальных процессов и их осознанное использование в практике менеджмента, значительно повышает эффективность деятельности трудового коллектива.
Объектом изучения выступают личность, малая группа, большая социальная группа и общество в целом, а также взаимодействие между ними. Предметом изучения являются закономерности поведения, деятельности и общения людей, обусловленные их включением в социальные группы, а также психологические характеристики самих этих групп.
Дисциплина «Социальная психология» опирается на знания и компетенции, полученные при изучении дисциплин общего профессионального цикла, таких как: «Социология», «Общая психология» и «Менеджмент персонала», включающий «Управление персоналом» и «Организационное поведение». В свою очередь, сама «Социальная психология» является исходной теоретической и практической базой для получения знаний по другим управленческим дисциплинам, в частности интегрированного курса «Управление человеческими ресурсами» включающего следующие учебные дисциплины: «Мотивация трудовой деятельности», «Управление профессиональной карьерой» и «Организация дополнительного обучения персонала».
Изучение дисциплины предусматривает лекционные и практические занятия.
Ни одна теория не может учесть всех особенностей реальной ситуации, в которую попадает организация. Поэтому выполнение практических заданий, на основе полученных теоретических знаний, позволит вам приобрести навыки творческого подхода к различным социально-психологическим ситуациям.
Цель изучения дисциплины: формирование у студентов системных представлений о психологических аспектах социальных групп, различных видах совместной деятельности и межличностного общения, т.е. психологических особенностях человеческих отношений и управления человеческими ресурсами.
Задачи изучения дисциплины:
· знакомство с теоретическими основами социальной психологии с учетом прикладных задач;
· формирование представлений о социально–психологических явлениях, теоретических подходах к социальной психологии личности, психологии межличностного взаимодействия и малых групп, а так же особенностях больших социальных групп;
· развитие умения применять теоретический материал о социально-психологических явлениях в повседневной жизни и трудовой деятельности;
· приобретение навыков аннотирования библиографических источников, психологического анализа и диагностики социальной реальности и социально-психологических характеристик окружающих людей, а так же прогнозирование и моделирование особенностей их поведения.
В результате изучения дисциплины студенты должны:
Иметь представление:
· о социальной психологии как науке;
· о межпредметных связях социальной психологии;
· о методах исследования в социальной психологии и психодиагностике;
· о социальной психологии личности;
· о функционировании и видах малых групп;
· о социально-психологических представлениях о личности в зарубежной и отечественной психологии;
· о социальной установке личности;
· о процессе социализации личности;
· о специфике межличностного общения в трудовом коллективе;
· о процессах межгрупповой дифференциации и интеграции;
· о массовых явлениях в больших диффузных группах.
Знать:
· понятие социальной психологии;
· предмет и объекты социальной психологии;
· методы социально-психологического воздействия;
· структуру общения;
· понятие, цели и средства общения;
· личностные качества, способствующие эффективной работе в группе;
· особенности межличностного взаимодействия, его мотивы и цели;
· основы групповой сплоченности;
· уровни совместимости;
· особенности функционирования больших социальных групп.
Уметь:
· рассчитывать социометрический статус члена группы;
· отбирать методы, адекватные поставленным задачам;
· описывать поведенческий портрет личности;
· определять характерную схему причинности для себя и других;
· распознавать скрытые транзакции;
· вырабатывать правила совместной жизнедеятельности;
· рассчитать свою межличностную совместимость;
· отслеживать процессы групповой динамики.
Приобрести навыки:
· применения социально-психологической теории в практике управления;
· обоснования собственного решения (выбора);
· переноса знакомого алгоритма действий в новую ситуацию;
· работы со специализированной литературой.
Цели изучения темы: получение общетеоретических представлений о месте социально-психологических идей в системе научного знания.
Ознакомление студентов с первой темой позволит сформировать представление о многообразии теоретических воззрений в рамках социальной психологии, о вариативности предмета и методах исследования.
Задачи изучения темы:
· ознакомление с понятием «предмет социальной психологии» и его формами;
· получение представления о связи социальной психологии с другими науками;
· получение знаний об истории развития социально-психологических идей;
· ознакомление с разнообразными методами социальной психологии.
Учебные вопросы:
1. Предмет, структура и методы социальной психологии.
2. История отечественной социальной психологии.
3. Зарождение зарубежной социальной психологии.
Теоретический материал по теме
Приступая к изучению любой науки, в первую очередь необходимо познакомится с предметом и методами изучения, т.е. ответить на вопрос что изучает наука и каким способом ей это приходится делать?
Социальная психология изучает закономерности поведения, деятельности и общения людей, обусловленные их включением в социальные группы, а также психологические характеристики самих этих групп. До сих пор ведутся научные дискуссии о предмете социальной психологии. В настоящий момент представление о предмете социальной психологии существенно дифференцирован, что характерно для пограничных, смежных отраслей научного знания. Если говорить о предмете социальной психологии, то, прежде всего, речь идет о психических процессах, состояниях и свойствах индивида, проявляющихся во взаимодействии с другими людьми; например, таких как общительность, агрессивность, конфликтность, совместимость и др. Во-вторых, принято рассматривать в качестве предмета – феномен общения, в том числе его разновидности: управленческое, педагогическое, супружеское и др. Третьим вариантом предмета социальной психологии выступают психологические процессы, состояния и свойства социальных групп. Например, социально-психологический климат, лидерство, сплоченность и т.п. Наконец, социальная психология в качестве своего предмета рассматривает массовые психические явления, такие как паника, слухи, мода, массовый энтузиазм.
Кроме предмета изучения любая наука выделяет объекты своего внимания. В социальной психологии в качестве объекта выступают: личность, малая группа, большая социальная группа и общество в целом, а также взаимодействие между ними.
Как и к предмету к структуре социальной психологии существует несколько подходов. В зависимости от методов анализа социально-психологических явлений принято выделять три компонента социальной психологии: теоретический, эмпирический и практический. Теоретическая социальная психология использует методы общетеоретического анализа; эмпирическая – экспериментальные и эмпирические, а практическая – методы социально-психологического воздействия.
В зависимости от видов жизнедеятельности человека социальная психология представлена в следующих разделах:
· Социальная психология труда;
· Социальная психология общения;
· Психология социального познания;
· Социальная психология творчества;
· Социальная психология игры.
Если в качестве основания для выделения элементов социальной психологии рассматривать сферы общественной жизни, то она предстает в виде следующих элементов.
· Промышленная социальная психология;
· Психология сельского хозяйства;
· Социальная психология торговли;
· Социальная психология образования;
· Социальная психология науки;
· Социальная психология политики;
· Социальная психология массовых коммуникаций;
· Социальная психология спорта;
· Социальная психология искусства.
В рамках нашего изучения дисциплины социальная психология, мы будем исходить из структуры, зависящей от объекта исследования:
· Социальная психология личности;
· Психология межличностного взаимодействия (общения и отношений);
· Психология малых групп;
· Психология межгруппового взаимодействия;
· Психология больших социальных групп и массовых явлений.
В завершении первого вопроса остановимся на методах социальной психологии. Более подробно рассмотрим эмпирические и практические методы, так как овладение данными методами существенно повышает эффективность профессиональной деятельности HR-менеджера.
Целью использования эмпирических методов является сбор информации, диагностика социально-психологических явлений. Виды используемых методов и методик, а также области их применения приведены в таблице 1.
Таблица 1.
Эмпирические методы социальной психологии
|
Название |
Виды методов (методики) |
Области применения |
|
Наблюдение |
· стандартизированное; · нестандартизированное; · включенное; · стороннее; · непосредственное; · опосредованное |
· изучение образа жизни; · ценностных ориентаций; · контроль полученных эмпирических данных |
|
Эксперимент |
· естественный; · лабораторный; · аппаратурные исследования |
· сработанность в совместной деятельности; · решение проблем; · групповое принятие решений |
|
Изучение фиксированной информации |
· изучение документов; · анализ продуктов человеческой деятельности (рисунков, текстов); · контент-анализ |
· изучение социальной установки; · социальных особенностей личности |
|
Опрос |
· беседа; · интервью; · анкетирование |
· изучение общественного мнения; · настроений; · отношений; · мотивов |
|
Социометрия |
· параметрическая; · непараметрическая; · модификация Я.Л. Коломенского |
· диагностика межличностных и внутригрупповых отношений; · оценка сплоченности и совместимости членов группы |
|
Групповой анализ личности |
· метод групповой оценки личности |
· отбор персонала; · расстановка кадров |
|
Социально-психологические тесты |
· стандартизированные; · проективные; · методики психологической оценки
|
· диагностика групп; · межличностные и межгрупповые отношения; · социальная перцепция; · социально-психологические свойства личности |
Наряду с эмпирическими методами, позволяющими изучать причины возникновения и особенности функционирования социально психологических явлений, важно знать и практические методы, направленные на изменение обнаруженных феноменов. Практические методы социальной психологии представлены в таблице 2.
Таблица 2.
Методы социально-психологического воздействия[1]
|
Название |
Цель воздействия |
Методы |
|
Оптимизирующие |
оптимизация |
· формирование благоприятного социально-психологического климата; · тренинг общения; · комплектование групп |
|
Интенсифицирующие |
стимулирование активизация |
· организация труда; · комплектование сработанных групп |
|
Управляющие |
управление |
· психологический отбор; · расстановка кадров |
|
Развивающие |
развитие |
· групповая подготовка; · обучение и воспитание |
|
Профилактические |
предупреждение |
· коррекция психологических свойств индивида и группы |
|
Диагностические |
оценка |
· аттестация; · самоаттестация |
|
Информирующие |
информирование |
· психологическое консультирование |
Процессы утверждения государств нового типа, индустриализации, урбанизации, проходившие на рубеже ХIХ–ХХ вв. привели к необходимости изучения психологических механизмов консолидации больших и малых социальных общностей, общественного сознания и поведения, социальной регуляции действий и поступков людей. Таким образом, выделение социальной психологии в самостоятельную науку было ответом на запросы времени и общества.
Развитие отечественной социальной психологии можно представить в виде последовательной смены пяти периодов.
Первый период (60-е годы ХIХ века – начало ХХ века). Выделение описательной социальной психологии из философии, социологии и общей психологии в самостоятельную область знания. Дискуссии о предмете и методах. Развитие социально-психологических идей происходит внутри прикладных психологических дисциплин.
Внимание исследователей сосредоточено на психологических особенностях, проявляющихся во взаимодействии, совместной деятельности и общении людей.
Персоналии: Н.К. Михайловский, Л.И. Петражицкий, В.М. Бехтерев
Второй период (20-е годы – первая половина 30-х годов ХХ века). Плодотворный период для осмысления революционных преобразований в обществе, решения неотложных практических задач (борьба с беспризорностью, восстановление учреждений культуры и т.д.).
Идет поиск собственного пути через дискуссии с зарубежными школами социальной психологии и освоение марксистских идей применительно к пониманию сути социально-психологических явлений.
Наблюдается пик развития в прикладных отраслях: педологии и психотехнике.
Персоналии: Г.И. Челпанов, К.Н. Корнилов, П.П. Блонский.
Третий период (вторая половина 30-х г. – первая половина 50-х г. ХХ века). Изоляция отечественной науки от западной психологии. Идеологический контроль за наукой. Практическая невостребованность результатов исследований.
Идеи об общественно-исторической детерминации психических явлений, разработка принципа единства сознания и деятельности и принципа развития выступили фундаментом теоретической социальной психологии (Б.Г. Ананьев, Л.С. Выготский, А.Н. Леонтьев, С.Л. Рубинштейн). Педагогические исследования и педагогическая практика (А.С. Макаренко). Исследования коллектива, воспитание личности в коллективе
Четвертый период (вторая половина 50-х г. – первая половина 70-х г. ХХ века). Возрождение социальной психологии, формирование в самостоятельную экспериментальную науку. Выделяют следующие критерии самостоятельности науки:
· характеристика места среди других наук;
· определение предмета и объектов исследований;
· выделение и определение основных категорий и понятий;
· формулирование законов и закономерностей;
· подготовка специалистов.
Персоналии: Г.М. Андреева, А.А. Бодалев, А.Г. Ковалев, В.Н. Мясищев, Б.Д. Парыгин, К.К. Платонов, Б.Ф. Поршнев, Л.И. Уманский, В.А. Ядов и др.
Пятый период (вторая половина 70-х гг. – настоящее время). Развитие прикладной социальной психологии. Актуальность такого направления как социально-психологическое воздействие. Анализ специфики прикладного исследования, реальные возможности социальной психологии в формулировании практических рекомендаций, описание основных форм и способов социально-психологического воздействия.
Кризис прикладной социальной психологии. Практика использования социальной психологии в политике, экономике, образовании, здравоохранении. Изменение общественной формации и как следствие необходимость новых акцентов при исследовании традиционных для общества проблем (например, этнической психологии, психологии предпринимательства и др.).
Персоналии: М.Р. Битянова, А.А. Деркач, А.И. Донцов, Е.М. Дубовская, А.Л. Журавлев, Р.Л. Кричевский, Я.Л. Коломинский, А.Н. Лутошкин, Г.И. Марасанов, Н.Н. Обозов и др.
Социальную психологию одновременно можно рассматривать и как самую древнюю область знаний, и как ультрасовременную научную дисциплину. С того момента как люди начали объединяться в какие-то более или менее стабильные первобытные сообщества (семьи, роды, племена и т.д.), возникла необходимость во взаимопонимании, в умении строить и регулировать отношения внутри сообществ и между ними. Так появились первые социально-психологические феномены (а значит и социальная психология), которые отслеживались сначала в виде примитивных обыденных представлений, а затем выстраивались в форму развернутых суждений и концепций, включавшихся в учения мыслителей древности о человеке, обществе и государстве. Наряду с её несомненной древностью социальная психология является самой современной наукой, что связано с углубляющимся осознанием роли «человеческого фактора» во всех сферах современной жизни. В настоящее время прослеживается тенденция перехода социальной психологии из науки «ведомой», лишь отражающей запросы общества, объясняющей, к «ведущей» науке, ориентированной на гуманистически-прогрессивное развитие и совершенствование общества.
С точки зрения развития идей Э. Холландер (1971) в эволюции социальной психологии выделил три основных стадии: социальной философии, социального эмпиризма и социального анализа.
Для стадии социальной философии характерен умозрительный, спекулятивный метод построения теорий, который, хотя и основан на жизненных наблюдениях, не включает сбор систематизированной информации и опирается лишь на субъективные суждения и впечатления автора теории. Методология социальной философии была преобладающей, начиная с античных времен до XIX в. Данный этап характеризуется стремлением философов строить глобальные теории, которые включали в себя суждения о человеке и его душе, об обществе, его социальном и политическом устройстве, а также о мироздании в целом.
Например, Аристотель (IV в. до н. э.) в качестве основной категории в системе своих взглядов выделил, говоря современным языком, понятие «общение». Он полагал, что это инстинктивное свойство человека, составляющее необходимое условие его существования, означающее потребность человека жить в сообществе с другими людьми. Поэтому первичной формой общения для Аристотеля была семья, а высшей формой — государство.
Стадия социального эмпиризма делает шаг вперед в том, что для обоснования тех или иных теоретических соображений используются уже не просто рациональные умозаключения, а набор эмпирических данных, собранных по какому-то признаку и обработанных, хотя бы упрошенным способом, статистически. Именно XIX век стал периодом расцвета социального эмпиризма.
На рубеже XIX-XX вв. социальная психология переживала еще период становления как самостоятельной науки, поэтому многие ее проблемы находили отражение в трудах социологов. Необходимо отметить работы Э. Дюркгейма (1897), остро поставившего вопросы влияния социальных факторов на психическую жизнь индивидов, и Ч. Кули, разрабатывавшего проблему отношений между личностью и обществом. Большое место в трудах социологов в конце XIX в. занимала проблема толпы и управления массами.
В конце XIX и начале XX вв. под влиянием работ Ж. Шарко, Г. Лебона, У. Макдугалла, С. Сигеле и др. практически все проблемы социальной психологии рассматривались с позиций концепции внушения. При этом много теоретических и эмпирических исследований было посвящено вопросам психологической природы внушения, которые остаются актуальными и сегодня.
Стадия социального анализа. Социальный анализ с начала XX века и до сегодняшних дней составляет методологический базис подлинно научной социальной психологии. Это означает современный подход, включающий в себя установление не только внешних связей между явлениями, но и выявление причинных взаимозависимостей, раскрытие закономерностей, проверку и перепроверку получаемых данных, и построение теории с учетом всех требований современной науки.
Уже В. Вундт различал психологию физиологическую и психологию народов. Его десятитомный груд «Психология народов», по существу является социальной психологией. Высшие психические функции, по мнению Вундта, должны были изучаться с позиции «психологии народов». У. Макдугалл написал один из первых учебников по социальной психологии, изданный в 1913г. Его система взглядов на социально-психологические отношения в обществе строилась на теории инстинктов, которая, с учетом вклада 3. Фрейда, господствовала в научном сознании в последующие годы.
1. Решите предлагаемые ниже задачи[2].
Задача 1. В группе из 15 человек проводилось социометрическое исследование.
Факт 1. Никто из членов группы не поинтересовался его результатами.
Факт 2. По данным экспериментального исследования никто в этой группе не получил взаимных выборов.
Как вы думаете, существует ли связь между этими фактами? Как каждый из них характеризует структуру группы?
Задача 2. В группе нет человека, который бы получил больше всех выборов в социометрическом исследовании.
Назовите возможные причины такого результата исследования.
Задача 3. О группе из 5 человек наблюдатели говорят, что в ней ни у кого нет своего лица. По данным социометрии никто из членов группы не получил больше трех выборов.
Сопоставьте эти данные с мнением о группе.
2. Прочитайте [1]: текст 1 главы и заполнить следующую таблицу относительно периодов развития отечественной социальной психологии:
Таблица 3.
Плюс-Минус-Интересно (ПМИ)
|
Что хорошего? (для развития науки) |
Что в этом плохого? |
Что в этом интересного? |
|
|
|
|
|
|
|
|
|
|
|
|
|
|
|
|
|
|
|
|
1. Какие представления о предмете сложились в современной социальной психологии?
2. Перечислите основные объекты социальной психологии. Объясните их взаимодействие.
3. Перечислите основания для выделения структуры социальной психологии.
4. Какие периоды выделяют в истории отечественной социальной психологии?
5. Охарактеризуйте особенности трех стадий развития идей в зарубежной социальной психологии.
Базовый учебник:
1. Социальная психология. учебное пособие /Отв. ред. А. Л. Журавлев. М.: ПЕРСЭ, 2002. – 350 с. http://www.koob.ru/zhuravlev_a_l/social_psych
Основная литература:
2. Андреева Г.М. Социальная психология. Учебник для вузов. М.: Аспект-Пресс, 2009. – 362 с. http://www.koob.ru./andreeva_g_m/
3. Каменская Е.Н. Социальная психология: конспект лекций. – Ростов н/Д, 2009. – 186 с.
4. Социальная психология /Под ред. А.Н. Сухова, А.А. Деркача. М.: Академия, 2006. – 600 с.
Дополнительная литература:
5. Майерс Д. Социальная психология. СПб.: Питер, 2010. – 794 с. http://www.koob.ru./myers/
6. Социальная психология: Практикум: Учеб. пособие для вузов / Под ред. Т.В.Фоломеевой. – М.: Аспект Пресс, 2009. – 479 с.
Интернет-ресурсы:
7. http://www.voppsy.ru - сайт редакции журнала «Вопросы психологии».
8. http://psynews.narod.ru - журнал «Популярная психология».
Цели изучения темы: получение общетеоретических представлений о социальной психологии личности в рамках изучаемой дисциплины.
Ознакомление студентов со второй темой позволит сформировать представление о социальных установках личности, Я-концепции, социально-психологических явлениях.
Задачи изучения темы:
· получение представления о теоретических подходах к изучению личности в отечественной социальной психологии;
· понимание сущности социальной установки личности;
· ознакомление с понятием «Я-концепция»;
· усвоение особенностей социально-психологических явлений;
· получение знаний о механизмах влияния группы на личность;
· обучение анализу психических процессов, состояний, свойств личности.
Учебные вопросы:
1. Представления о личности в отечественной социальной психологии.
2. Социальная установка личности.
3. Социализация личности.
4. Социально-психологические явления.
Теоретический материал по теме
Взгляды на социально-психологические проблемы личности формировались представителями разных школ и направлений отечественной психологии. Остановимся на основных подходах к разработке социальной психологии личности и авторских концепциях, представляющих эти подходы.
Психология отношений (А.Ф. Лазурский, В.Н. Мясищев).[3] По мнению А.Ф. Лазурского, отношение является системообразующим фактором структуры личности. Характеризуя личность как сложное целое, он разделил ее проявления на два рода: эндопсихические (взаимосвязанные и взаимозависимые психические элементы и функции) и экзопсихические (отношение личности к внешним объектам, к среде).
Исходным для психологии личности, по В.Н. Мясищеву, является характеристика сущности человека как набора общественных отношений. Общественные отношения существуют в двух формах: объективной и субъективной (психологические, внутренние, жизненные отношения). Именно психологические отношения составляют системообразующее качество личности. В развитом виде они представляют целостную систему индивидуальных, избирательных, сознательных связей с различными сторонами объективной действительности. Изучая отношения, можно понять познавательные, волевые, эмоциональные процессы, темперамент, способности и характер человека. В системе отношений центральное место занимают отношения человека к обществу, общности, коллективу, группе, к самому себе.
В концепции В.Н. Мясищева выделяется три уровня в развитии системы отношений. Нижний уровень характеризуется примитивным, витальным, ситуативно-обусловленным характером отношений (влечений). Среднему уровню соответствует преобладание отношений конкретно-личного характера (личной симпатии, антипатии, непосредственного утилитарного интереса или расчета). На высшем уровне проявляется преобладание идейных отношений-убеждений, сознания, долга, общественно-коллективистических мотивов. Таким образом, по мере повышения уровня отношений возрастает их социальная направленность.
Теория установки (Д.Н. Узнадзе)[4]. В данном направлении исследования личности считалось, что существуют разные формы психической активности. Главные из них - установка и объективация.
Поведение и жизнедеятельность субъекта вытекают из наличия у него потребностей, для удовлетворения которых необходима определенная ситуация. Наличие потребностей и ситуации вызывает у человека особое состояние, которое характеризует его склонность, направленность и готовность совершать определенные действия. Это состояние и называется установкой. Разные виды установок реализуются двумя выделенными Д. Узнадзе формами поведения: экстерогенным (потребление, обслуживание, труд, занятие) и интерогенным (эстетическое наслаждение, игра, развлечение, спорт, художественное творчество).
Объективация понимается как задержка или прекращение реализации имеющейся установки, приостановка соответствующей деятельности. Акт объективации включает в себя акт познавательного отношения к миру, который равнозначен механизму сознания. Предметами объективации являются: душевный мир, а также социальные требования и «Я». Именно в способности объективации заключается механизм выхода за пределы личного, в сферу другого человека, что позволяет говорить о переходе от психологии личности к социальной психологии личности.
Комплексный подход к изучению личности (Б.Г. Ананьев)[5]. На долю психологии приходится исследование человека как индивида, личности и ее жизненного пути, человека как субъекта. Выраженность социально-психологической составляющей повышается от исследования человека как индивида к исследованию его как субъекта. Личность является комплексной проблемой современной науки.
По мнению Б.Г. Ананьева, в изучении человека как личности особо выделяется:
· «статус» личности, т.е. ее положение в обществе (экономическое, политическое, правовое и т. д.);
· общественные функции, осуществляемые личностью в зависимости от этого положения и исторической эпохи;
· мотивация ее поведения и деятельности в зависимости от целей и ценностей, образующих внутренний мир;
· мировоззрение и вся совокупность отношений личности к окружающему миру (природе, обществу, труду, другим людям, самому себе);
· характер и склонности».
Вся эта сложная система субъективных свойств и качеств человека, его социально-психологических феноменов определяет его деятельность и поведение.
Б.Г. Ананьев полагал, что «структура личности строится по двум одновременно действующим принципам:
1) субординационному или иерархическому, при котором более сложные или более общие социальные свойства личности подчиняют себе более элементарные и частные социальные и психофизиологические свойства;
2) координационному, при котором взаимодействие осуществляется на паритетных началах, допускающих ряд степеней свободы для координируемых свойств, т.е. относительную автономию каждого из них».[6]
Системный подход к социальной психологии личности (Б.Ф. Ломов)[7]. Основанием качеств человека является социальная система. В этой системе существуют все связи и отношения человека с другими людьми и их общностями, обеспечивающие необходимые условия его существования и развития. Человек является компонентом социальной системы, принадлежность к которой определяет его социальные качества. Эти качества выражают его родовую сущность. Многообразие проявлений социальных качеств выявляется в психологических особенностях индивидов, групп, социально-психологических феноменах. Социальные качества человека существуют как целостная, многоуровневая и иерархическая система.
Методологические требования системного подхода, сформулированные Ломовым: характеристика разных планов психики как системы, многоуровневость ее строения, разные порядки ее свойств, многомерность психических явлений имеют прямое отношение к проблеме социальной психологии личности.
Субъектно-деятельностный подход (С.Л. Рубинштейн, К.А. Абульханова)[8]. Высказав кардинальное положение о включении человека в состав бытия, С.Л. Рубинштейн считает субъектность важнейшим механизмом этой включенности. Взаимоотношения человека с миром осуществляются в разных формах — познавательной, деятельностной и отношенческой (отношение человека к другому человеку). Все эти формы отношений, составляющих сущность субъекта, формируются в деятельности.
Деятельность выступает как один из типов активности субъекта, как способ его отношения к действительности. Активность субъекта выражается, по мнению С.Л. Рубинштейна, в формах самодетерминации, самопричинения, самодеятельности. В этих формах отражается сущностная характеристика субъекта.
В личности как в фокусе сосредотачиваются отражательный, познавательный аспекты сознания и его качества отношения, переживания, стремления. В социально-психологических качествах личности, выражаемых в ее интересах, идеалах, направленности, мировоззрении, синтезируются ее познавательные, отношенческие взаимоотношения и механизмы, регулирующие эти отношения. Сложные системы связей и отношений человека к миру, другим людям, к себе выражаются в краткой и емкой форме: личность является субъектом жизни.
В концепции К.А. Абульхановой по-новому представлена категория деятельности. Деятельность выступает как форма существования активности. Так субъектно-деятельностный подход преобразуется в активно-субъектный. Активность выступает «как способность и способ самовыражения, самореализации личности...»[9]. Конкретными формами проявления активности являются инициатива и ответственность.
Активность – это системное качество личности, включающее в себя различную направленность, разный жизненный опыт, обобщающий те или иные стратегии жизни. В этом смысле активность характеризует личность как субъект жизненного пути. В результате исследования жизненного пути были выделены три его взаимосвязанные структуры: жизненная позиция, жизненная линия и смысл или концепция жизни.
Структурно-динамический подход (А.Г. Ковалев, К.К. Платонов, Б.Д. Парыгин)[10]. Существует большое разнообразие теорий личности, рассматривающих различные аспекты структуры или ее стороны. В этих концепциях заложены основания для целостного понимания личности как предмета социальной психологии, определяются социально-психологические качества личности.
А.Г. Ковалев предложил различать в личности три образования: психические процессы, психические состояния и психические свойства, которые динамичны и взаимосвязаны. В процессе деятельности свойства связываются друг с другом в соответствии с требованиями к деятельности. Так появляются сложные структуры, к которым относятся темперамент, направленность (система потребностей, интересов, идеалов), способности (система интеллектуальных, волевых и эмоциональных свойств). Синтез структур образует своеобразный облик или характер. Образование структур, а особенно их системы, обеспечивает относительную независимость поведения от случайных воздействий, ситуаций. В них выражается степень зрелости и определенности личности, умственной и практической ее самостоятельности.
Развернутая характеристика структуры личности содержится в трудах К.К. Платонова. Центральными в этой концепции являются понятия: личности, психологической структуры, динамической структуры, элементов структуры, подструктуры, иерархии подструктур, свойств личности, сознания, деятельности. К.К. Платонов выделил в личности четыре подструктуры (представленные в таблице 4).
Таблица 4.
Структура личности по К.К. Платонову
|
Название подструктуры |
Содержание (составляющие элементы) |
Процесс формирования |
|
Направленность личности |
убеждения, мировоззрение, идеалы, стремления, интересы, желания |
воспитание |
|
Опыт |
привычки, умения, навыки, знания |
обучение |
|
Индивидуальные особенности отдельных психических процессов |
воля, чувства, восприятие, мышление, ощущения, эмоции, память, способности |
упражнение, тренировка |
|
Биопсихические свойства |
свойства нервной системы, темперамент, половые, возрастные свойства, задатки |
врожденные |
Дальнейшее развитие структурно-динамический подход к изучению личности получил в концепции Б.Д. Парыгина. В ходе анализа социально-психологической структуры личности он выделил две качественно различные модели данной структуры: статическую и динамическую. Статическая структура в представлении Б.Д. Парыгина являет собой «абстрактную модель, характеризующую основные аспекты, пласты или компоненты психики индивида», динамическая – это «модель психического состояния и поведения человека, которая позволяет понять механизмы взаимосвязи и взаимодействия между собой всех компонентов и структурных пластов в психике индивида»[11].
Таблица 5.
Социально-психологическая структура личности (по Б.Д. Парыгину)
|
Статическая модель (подструктура) |
Динамическая модель (подструктура) |
|||
|
свойства всеобщие |
социально-специфические |
индивидуально-неповторимые |
психический настрой личности |
стереотип социального поведения |
Социальная установка является одной из основных категорий социальной психологии. Она призвана объяснить все социальное поведение человека, то есть, как он воспринимает окружающую его действительность, почему он так, а не иначе поступает в конкретных ситуациях, каким мотивом при этом руководствуется, почему одним мотивом, а не другим, по каким основаниям выбирает способ действий и т. д.
Общая особенность имеющихся определений в том, что различные авторы делают акценты на разных компонентах социальной установки. У одних это состояние готовности, у других – стабильность реагирования на социальные объекты, у третьих – мотивационные функции и т. д.
В зарубежной психологии понятию социальной установки соответствует термин аттитюд. Важнейшие признаки аттитюда: социальный характер объектов, с которыми связаны отношение и поведение человека; осознанность этих отношений и поведения; их эмоциональный компонент; а также регулятивная роль социальной установки. Регулирующая функция социальной установки отражает ее связь с «собственным» для данной установки социальным объектом. Сами же социальные установки оказываются взаимосвязанными, взаимозависимыми и нередко противоречивыми компонентами сложной системы, вступающими в борьбу друг с другом. Данный факт позволяет объяснить проблему несоответствия между социальной установкой, выраженной вербально, и реальным поведением человека.
Описывая структуру социальной установки, М. Смит выделяет три компонента: когнитивный, содержащий знание, представление о социальном объекте; аффективный, отражающий эмоционально-оценочное отношение к объекту; и конативный (поведенческий), выражающий потенциальную готовность личности реализовать определенное поведение по отношению к объекту.
Наличие четкой структуры социальной установки позволяет выделить две ее важные разновидности - стереотип и предрассудок.
Стереотип — это социальная установка с застывшим, нередко обедненным содержанием когнитивного компонента. Когда мы говорим о стереотипном мышлении, мы имеем в виду ограниченность, узость или устарелость представлений человека о тех или иных объектах действительности или о способах взаимодействия с ними. Стереотипы бывают полезны и необходимы как форма экономии мышления и действий в отношении достаточно простых и стабильных объектов и ситуаций, адекватное взаимодействие с которыми возможно на основе привычных и подтверждаемых опытом представлений.
Предрассудок — это социальная установка с искаженным содержанием ее когнитивного компонента, вследствие чего индивид воспринимает некоторые социальные объекты в неадекватном, искаженном виде. Сильный, эмоционально насыщенный аффективный компонент обусловливает не только некритичное восприятие отдельных элементов действительности, но и неадекватные при определенных условиях действия по отношению к ним.
Например, некоторые россияне, столкнувшиеся с преступными группировками, организованными по национальному признаку, переносят негативное отношение на весь народ, из представителей которого состоит та или иная группировка.
Социализация личности является двусторонним процессом усвоения индивидом социального опыта того общества, к которому он принадлежит, с одной стороны, и активного воспроизводства и наращивания им систем социальных связей и отношений, в которых он развивается, — с другой.
Человек не только воспринимает социальный опыт и овладевает им, но и активно преобразует его в собственные ценности, установки, позиции, ориентации, в собственное видение общественных отношений.
Общественные отношения — это официальные, формально закрепленные, объективизированные, действенные связи.
Социальный опыт включает в себя нормы, правила, ценности, отношения и т.п. социальной среды, культуру труда, производственной и других видов деятельности. В соответствии с этим становление и развитие личности, как процесс приобретения индивидом социального опыта и его наращивания, приумножения, могут быть представлены двумя условными этапами, которые взаимосвязаны и дополняют друг друга: общей и профессиональной социализацией личности.
В процессе социализации человек усваивает социальные нормы, овладевает способами использования социальных ролей, навыками общественного поведения.

Рис. 1. Источники социализации личности
Институты социализации – те конкретные группы, в которых личность приобщается к системам норм и ценностей и которые выступают своеобразными трансляторами социального опыта.
Социализация по своему содержанию есть процесс становления личности, который начинается с первых минут жизни человека. Выделяются три сферы, в которых осуществляется это становление личности: деятельность, общение, самосознание (см. таблицу 6).
Таблица 6.
Содержание процесса социализации (по сферам)
|
Сферы становления личности |
Сущность |
Процессы |
Результат |
|
Деятельность |
расширение «каталога» деятельностей |
· ориентировка или личностный выбор деятельности; · центрирование; · освоение новых ролей и осмысление их значимости |
расширение возможностей индивида как субъекта деятельности |
|
Общение |
расширение и углубление контактов |
· умножение и возрастная специфика; · децентрация |
эффективные коммуникации,
|
|
Самосознание |
углубление самопонимания |
· осознание своего «Я»; · осмысление своего «Я» |
«коррекция» представления о себе в сравнении с представлением, складывающимся в глазах других |
Кратко охарактеризуем этапы социализации по А.В. Петровскому[12] графически представленные на рис. 2.

Рис. 2. Этапы социализации
1. Первичная стадия социализации или стадия адаптации - от рождения до подросткового периода - ребенок усваивает социальный опыт некритически, адаптируется, приспосабливается, подражает.
2. Стадия индивидуализации - появляется желание выделить себя среди других, критическое отношение к общественным нормам поведения. В подростковом возрасте стадия индивидуализации, самоопределения «Мир и Я» характеризуется как промежуточная социализация, т.к. все еще неустойчиво в мировоззрении и характере подростка. Юношеский возраст характеризуется, как устойчиво концептуальная социализация, когда вырабатываются устойчивые свойства личности.
3. Стадия интеграции - появляется желание найти свое место в обществе, «вписаться в общество». Интеграция проходит благополучно, если свойства человека принимаются группой, обществом. Если же не принимаются, то возможны следующие исходы:
· сохранение своей непохожести и появление агрессивных взаимодействий с окружающими,
· изменение себя в целях «стать как все»,
· появление конформизма, внешнего соглашательства, адаптации.
4. Трудовая стадия социализации охватывает весь период зрелости человека, весь период его трудовой деятельности, когда человек не только усваивает социальный опыт, но и воспроизводит его за счет активного воздействия на среду через свою деятельность.
5. Послетрудовая стадия социализации рассматривает пожилой возраст как возраст, вносящий существенный вклад в воспроизводство социального опыта, в процесс передачи его новым поколениям.
Универсальным понятием, общей составляющей различных психических процессов, т.е. единицей анализа, в социальной психологии считается «взаимодействие», в результате которого и образуются социально-психологические явления.
Социально-психологические явления – это феномены, возникающие в результате взаимодействия субъектов (индивидов и общностей) в определенных условиях, отражающие их в различных формах, выражающие отношение к ним, побуждающие и регулирующие поведение людей, осуществляющие обмен сообщениями и переживаниями, а также способствующие организации как социально полезной, так и преступной деятельности.
Рассмотрим существующие виды социально-психологических явлений представленные в таблице 7.
Таблица 7.
Классификация социально-психологических явлений
|
Основание классификации |
Виды социально-психологических явлений |
|||||
|
Содержание |
нормальные |
деформированные |
||||
|
Субъект возникновения |
межличностные |
групповые |
межгрупповые |
массовидные |
||
|
Степень осознания |
осознаваемые |
неосознаваемые |
||||
|
Степень устойчивости |
динамичные (различные виды общения) |
динамико-статичные (мнения и настроения) |
статичные (традиции, обычаи) |
|||
К универсальным механизмам социально-психологических явлений относят: подражание, внушение, заражение и убеждение[13]. Остановимся на них чуть подробнее.
Подражание – воспроизведение индивидом образцов демонстрируемого поведения. В результате подражания возникает и складывается образ жизни определенной социальной группы (нормы, обычаи, традиции). Закономерности подражания: периферия подражает центру, дети – взрослым, низшие подражают высшим.
Внушение – процесс целенаправленного неаргументированного воздействия одного человека на другого или на группу людей посредством передачи информации с готовыми выводами при некритическом ее принятии; Условия повышающие эффект внушения: возраст, утомление, физическая расслабленность, предшествующая установка, косвенная аргументация (авторитет говорящего, эффект доверия). Распространенными методами внушения являются манипуляции, психопрограммирование аудитории, создание имиджа.
Заражение – подверженность индивида определенным психическим состояниям при многократном взаимном усилении эмоциональных воздействий общающихся людей; Последствия заражения: спортивный азарт, паника, массовый психоз, религиозный экстаз, вспышки различных душевных состояний при ритуальных танцах и т.д. Для «запуска» механизма заражения используются различные стимулы (ритм, повторы, выкрики, аплодисменты и др.).
Убеждение – это интеллектуальное воздействие на сознание личности через обращение к ее собственному критическому суждению. Убеждение лишь тогда действенно, когда опирается не только на слова, но и на дела, эмоции, эффекты заражения, внушения и подражания. Прямое убеждение нуждается в аргументации, косвенное - предполагает использование намеков, когда одобрение выражается под влиянием случайных побочных факторов, таких, как привлекательность и красноречивость оратора или положительные ассоциации и др.
1. Прочитайте [1]: текст 2 главы и заполните сводную таблицу отечественных теорий личности (добавьте по возможности критерии сравнения).
Таблица 8.
Сводная таблица
|
Теория установки |
Психологии отношений |
Линии (критерии) сравнения |
Комплексный подход
|
Субъектно-деятельностный подход |
|
|
|
Автор |
|
|
|
|
|
Годы возникновения |
|
|
|
|
|
Основные положения |
|
|
|
|
|
… |
|
|
2. На основании предложенной схемы составьте поведенческий портрет героя художественного или мультипликационного фильма.
Схема поведенческого портрета.
1. Описание социально-биографических характеристик:
· Имярек.
· Пол.
· Возраст.
· Профессия.
· Семейное положение.
· Место проживании.
2. Описание поведенческих реакций в:
· привычной обстановке;
· стрессовой ситуации (например, конфликта).
На основании данных описаний сделать вывод о типе темперамента и особенностях эмоциональной сферы персонажа.
3. Какие способности проявляются?
4. Особенности характера проявляющиеся в отношении к:
· самому себе;
· другим людям;
· миру;
· труду и продуктам деятельности.
5. Характеристика направленности личности
· цели;
· ценности;
· мотивы;
· мировоззрение.
1. Почему в отечественной социальной психологии существует многообразие представлений о личности? Какая из концепций Вам ближе? Ответ аргументируйте.
2. Что такое «социальная установка»? Какие функции установок вы знаете?
3. В чем заключаются сходство и различия между стереотипами и предрассудками?
4. Раскройте сущность этапов социализации. Приведите примеры источников социализации вашей личности.
5. Что представляет собой понятие «социально-психологическое явление»? Какие их виды существуют?
Базовый учебник:
1. Социальная психология. учебное пособие /Отв. ред. А. Л. Журавлев. М.: ПЕРСЭ, 2002 . – 350 с. http://www.koob.ru/zhuravlev_a_l/social_psych
Основная литература:
2. Баранова И.П. Организационное поведение. – М.: Маркет ДС, 2007. – 168 с.
3. Каменская Е.Н. Социальная психология: конспект лекций. – Ростов н/Д, 2009. – 186 с.
Дополнительная литература:
4. Майерс Д. Социальная психология. СПб.: Питер, 2010. – 794 с. http://www.koob.ru./myers/
5. Социальная психология /Под ред. А.Н. Сухова, А.А. Деркача. М.: Академия, 2006. – 600 с.
Цели изучения темы: сформировать представление о социальной психологии общения и межличностного взаимодействия.
Ознакомление студентов с третьей темой и ее тщательная проработка позволит развить следующие компетенции HR-менеджера: коммуникабельность и эффективность взаимодействия с людьми. Коммуникабельность составляют: способность устанавливать и поддерживать дружеские, партнерские отношения и умение производить и поддерживать благоприятное впечатление.
Эффективность взаимодействия с людьми зависит от:
· умения выслушать собеседника;
· корректности поведения и речи;
· проявления уважения к собеседнику;
· адекватного использования коммуникативных средств в различных ситуациях.
Задачи изучения темы:
· ознакомление с понятием «межличностные отношения» и их видами;
· получение представления о структуре и функциях общения;
· развитие коммуникабельности и эффективности взаимодействия с людьми;
· распознавание и понимание невербальных сигналов при передаче информации.
Учебные вопросы:
1. Понятие межличностных отношений и их классификация.
2. Психология общения.
3. Структура общения.
4. Невербальные способы общения.
Теоретический материал по теме
Межличностные отношения важная составляющая жизнедеятельности людей. Г.М. Андреева[14] отмечает, что природа межличностных отношений может быть правильно понята, если увидеть в них особый ряд отношений, возникающий внутри каждого вида общественных отношений. Общественные отношения выражаются в виде производственных, экономических, правовых, нравственных, политических, религиозных, этнических, эстетических и т.д.
Межличностные отношения есть действительная реальность общественных отношений: вне их нет где-то «чистых» общественных отношений. Поэтому практически во всех групповых действиях участники их выступают как бы в двух качествах: как исполнители безличной социальной роли и как неповторимые человеческие личности. Это дает основание ввести понятие «межличностная роль».
Межличностная роль отражает положение человека в системе групповых связей, причем на основе индивидуальных психологических особенностей личности.
Примеры таких межличностных ролей хорошо известны из обыденной жизни: про отдельных людей в группе говорят, что он «рубаха-парень», «свой в доску», «стрелочник» и т.д. Обнаружение личностных черт в стиле исполнения социальной роли вызывает в других членах группы ответные реакции, и, таким образом, в группе возникает целая система межличностных отношений.
Межличностные отношения — это объективно переживаемые, в разной степени осознаваемые взаимосвязи между людьми.
Важнейшая особенность межличностных отношений — это эмоциональная основа. Поэтому межличностные отношения можно рассматривать как фактор психологического «климата» группы. Эмоциональная основа межличностных отношений означает, что они возникают и складываются на основе определенных чувств (объединяющих или разъединяющих), рождающихся у людей по отношению друг к другу.
Межличностные отношения актуализируют знания о личности партнеров, несут в себе эмоциональный отклик на них и формируют формы обращение с ними.
А. Кроник и Е. Кроник, используют для обозначения биполярных шкал понятия «валентность», «позиция» и «дистанция», выделяют позитивные отношения — негативные отношения, отношения снизу — отношения сверху, близкие отношения — далекие отношения.
Санкт-Петербургский психолог Н.Н. Обозов выделяет следующие виды межличностных отношений[15]:
· знакомства;
· приятельские;
· товарищеские;
· дружеские;
· любовные;
· супружеские;
· родственные.
Николай Николаевич классифицирует эти отношения по их глубине, избирательности в выборе партнера и функциям. Главным критерием отношений является глубина вовлеченности в них личности. Наибольшее включение личности происходит в дружеских и супружеских отношениях.
Взаимоотношения можно различать по дистанции между партнерами во время общения, продолжительности и частоте контактов, применению ролевых клише в актах общения и т.д.
Общая закономерность, выделенная Н.Н. Обозовым, состоит в том, что по мере углубления отношений сокращается дистанция общения, увеличивается частота контактов, устраняются ролевые клише.
Таблица 9.
Классификация видов отношений (Н.Н. Обозов)
|
Вид отношений |
Глубина вовлеченности |
Избирательность в выборе партнера |
Функции отношений |
|
отношения знакомства |
низкая |
низкая |
подтверждения |
|
приятельские |
низкая |
средняя |
время препровождение |
|
товарищеские |
средняя |
выше среднего |
производительности |
|
дружеские |
высокая |
высокая |
личностной идентичности |
|
любовные |
средняя |
индивидуальная |
близости и любви |
|
супружеские |
высокая |
индивидуальная |
стабильности и продолжения рода |
|
родственные |
разная |
нет |
принадлежности |
Кратко охарактеризуем еще одну классификацию отношений, широко используемую для практических целей в управленческой психологии, —это типология стилей межличностных отношений Т. Лири. Данная типология основана на двух взаимосвязанных параметрах: доминирование — подчинение и доброжелательность — враждебность. Таким образом, выделяются две подгруппы — подгруппа агрессивно-доминирующих и подгруппа дружелюбно-подчиненных стилей. Первая подгруппа объединяет ведущие стили межличностных отношений, вторая — ведомые. К ведущим стилям относятся властный-лидирующий, независимый-доминирующий, прямолинейный-агрессивный и недоверчивый-скептический. К ведомым стилям относятся покорный-застенчивый, зависимый-послушный, сотрудничающий-конвенциональный и ответственный-великодушный.
Общение – это сложный, многоплановый процесс установления и развития контактов между людьми, порождаемый потребностями совместной деятельности и включающий: обмен информацией, выработку единой стратегии взаимодействия, восприятия и понимания другого человека.
Выделяют следующие функции общения[16]:
· Прагматическая реализуется при взаимодействии людей в ходе выполнения совместной деятельности.
· Формирующая психический облик человека, заключается в переработке чужого опыта для построения непротиворечивой картины мира.
· Подтверждения реализует возможность человека изучить, осознать и подтвердить себя (ритуалы, знакомства, приветствия, именования, оказание различных знаков внимания). Опасность игнорирования для развития ребенка.
· Организация и поддержание межличностных отношений (от интимно-личностных до сугубо деловых) связана с оцениванием людей и установлением определенных эмоциональных отношений между ними.
· Внутриличностная рассматривается как универсальный способ мышления человека (через внутреннюю или внешнюю речь, построенную по типу диалога).
Люди, вступая в общение (устанавливая контакты) преследуют различные цели. Характеристика целей представлена в таблице 10.
Таблица 10.
Цели общения[17]
|
Цель |
Характеристика |
|
контактная |
установление контакта, как состояния обоюдной готовности к приему и передаче сообщений и к поддержанию взаимосвязи в виде постоянной взаимоориентированности |
|
информационная |
обмен сообщениями (прием-передача сведений в ответ на запрос), а также обмен мнениями, замыслами, решениями и пр. |
|
побудительная |
стимулирование активности партнера для направления его на выполнение определенных действий |
|
координационная |
взаимное ориентирование и согласование действий при организации совместной деятельности |
|
понимания |
адекватное восприятие и понимание смысла сообщения; взаимное понимание - намерений, установок, переживаний, состояний и пр. |
|
амотивная |
пробуждение в партнере нужных эмоциональных переживаний (обмен эмоциями), а также изменение с его помощью своих переживаний и состояний |
|
установления отношений |
осознание и фиксация своего места в системе ролевых, статусных, деловых, межличностных и прочих связей сообщества, в котором действует индивид |
|
оказания влияния |
изменение состояния, поведения и личностно-смысловых образований партнера (например, намерений, установок, мнений, решений, представлений, потребностей, действий, активности и пр. |
Как же осуществляется процесс общения? Какие средства при этом используют люди? Как правило, говоря о средствах общения, имеются в виду каналы передачи информации. Выделяют два таких канала: вербальный и невербальный. Умение эффективно использовать выделенные средства, характеризует успешного менеджера. Виды средств общения отражены на рис. 3.
Остановимся на характеристике средств общения[18], используемых в профессиональной деятельности и личном взаимодействии.

Рис. 3. Виды средств общения
Лингвистика изучает особенности выбора: слов и выражений, последовательности слов, создание новых слов и выражений, грамматических форм высказываний, т.е. создает контекст речи.
Акустический канал передачи информации базируется на данных паралингвистики и экстралингвистики. В рамках паралингвистики обращаем внимание на расстановку ударений, выбор скорости речи, интонации, тон голоса и т.д. Экстралингвистика исследует значение речевых пауз, смеха, плача, вздохов, кашля и т.п.
Ольфакторный канал воспринимает естественные и искусственные запахи человека, приятные и неприятные запахи окружающей среды.
Информацию, поступающую к нам через тактильный канал изучает такесика, так как носителем информации становятся прикосновения, пожатие руки, объятия и поцелуй.
Визуальный канал, пожалуй, является самым насыщенным, с точки зрения пропускной способности различной зрительной информации. Не случайно исследованиями информации поступающей через зрительный канал занимаются две науки: кинесика и проксемика. Кинесику интересуют свойства общей моторики различных частей тела, поэтому предметом изучения становятся: взгляды, мимика (выражение лица), пластика (позы и жесты, походка, осанка).
Проксемика сосредотачивается на изучении пространственной и временной организации общения. В этой связи ее интересуют расстояние до собеседника, угол поворота к нему, персональное пространство. В целом знание о комфортном расстоянии общения, позволяют осознанно использовать нарушение пространства в своих целях. Подробнее о невербальных средствах общения остановимся в вопросе № 4, данной темы.
Кроме всего выше перечисленного необходимо помнить, что немаловажную зрительную информацию о собеседнике представляет его одежда (стиль и состояние), макияж и дополнительные украшения.
Уже в определении выделены три составляющие или стороны общения: коммуникативная, интерактивная и перцептивная. Рассмотрим каждый элемент подробнее.
Коммуникативная сторона общения рассматривается как обмен мнениями, переживаниями, настроениями, желаниями, т.е. информацией. Целью коммуникации всегда является то или иное изменение в «багаже» (опыте) собеседника (его дополнение, расширение, упорядочивание и т.д.).
Коммуникация — процесс двустороннего обмена информацией, ведущий к взаимному пониманию.
Чтобы убедиться в успехе коммуникации, необходимо иметь обратную связь — информацию о том, как люди вас поняли, как они воспринимают вас, как относятся к проблеме.
Американский исследователь Г. Лассуэлл предложил модель коммуникативного процесса[19], представленную в таблице 11.
Эффективным общение делает отсутствие коммуникативных барьеров. Выделяют барьеры: непонимания (фонетический, семантический, стилистический и логический), социально-культурных различий и отношения.
Таблица 11.
Модель коммуникативного процесса
|
№ |
Ключевые вопросы коммуникации |
Элемент модели |
|
1 |
Кто? (передает сообщение) |
- Коммуникатор |
|
2 |
Что? (передается) |
- Сообщение (устная или письменная информация) |
|
3 |
Как? (осуществляется передача) |
- Канал (вербальный или невербальный) |
|
4 |
Кому? (направлено сообщение) |
- Реципиент, аудитория |
|
5 |
С каким эффектом? (обратная связь) |
- Результат |
Коммуникативный барьер – это психологическое препятствие на пути адекватной информации между партнерами по общению.
Основные функции коммуникации:
1) информативная — передача истинных или ложных сведений;
2) интерактивная (побудительная) — организация взаимодействия между людьми.
Например, согласовать действия, распределить функции, повлиять на настроение, убеждения, поведение собеседника, используя различные формы воздействия: внушение, приказ, просьбу, убеждение;
3) перцептивная — восприятие друг друга партнерами по общению и установление на этой основе взаимопонимания;
4) экспрессивная — возбуждение или изменение характера эмоциональных переживаний.
Интерактивная сторона общения включает компоненты, связанные с взаимодействием людей, рассматривает контекст, саму ситуацию взаимодействия. Среди основных характеристик субъекта совместной деятельности необходимо выделить целенаправленность, мотивированность, уровень целостности (интегрированности), структурированность, согласованность, организованность (управляемость), результативность (продуктивность), пространственные и временные особенности условий жизнедеятельности.
Исследователи выделяют[20] ряд социально-психологических типов взаимодействия, в зависимости от ведущих социальных мотивов (см. таблицу 12).
Таблица 12.
Мотивы и цели взаимодействия
|
Цель взаимодействия |
Социальный мотив |
|
|
Максимизация |
· общего выигрыша |
· кооперации |
|
· собственного выигрыша |
· индивидуализма |
|
|
· относительного выигрыша |
· конкуренции |
|
|
· выигрыша другого |
· альтруизма |
|
|
Минимизация |
· выигрыша другого |
· агрессии |
|
· различий в выигрышах |
· равенства |
|
Взаимодействие между общающимися индивидами представляет собой не только обмен знаниями, идеями, но и действиями. Наборы поведенческих характеристик (позы, интонации голоса, темп речи, жесты, мимика, разговорный словарь и т.п.) человека изменяются в зависимости от ситуации. Изменение поведения сопровождается изменением эмоционального состояния. Существует прямая связь между схемой поведения человека и состоянием его психики, что позволило выделить типичные состояния сознания. Варианты этих состояний Э. Берн разбил на 3 категории: состояние «Я» Родителя, состояние «Я» Взрослого, состояние «Я» Ребенка (или Дитя)[21].
Состояния Родителя, Взрослого и Дитя — нормальные психологические феномены. Каждый тип состояний по-своему важен для человека. Дитя — это источник радости, интуиции, творчества, спонтанных побуждений. Благодаря Родителю многие наши реакции давно стали автоматическими, что помогает сберечь массу времени и энергии. Взрослый перерабатывает информацию и учитывает возможности эффективного взаимодействия с окружающим миром. Взрослый контролирует действия Родителя и Дитя и является посредником между ними.
Внутренние психические процессы, характеризующие актуальное состояние «Я» человека, выражаются во внешнем поведении, по которому можно определить состояние его сознания. Позиции партнеров в общении определяются теми состояниями «Я», которые вступают во взаимодействие в данный момент общения.
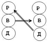
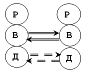
Э. Берн считал, что транзакция представляет собой единицу общения, состоящую из стимула (С) и реакции (Р) между двумя состояниями сознания. Вербальное общение в транзакции сопровождается невербальным, выражающимся во взгляде, интонации, рукопожатии и т.д. Э. Берн выделяет три формы транзакций[22] — параллельные или дополнительные, пересекающиеся и скрытые. Каждой из этих форм соответствуют свои правила коммуникации. Графически эти формы транзакций представлены на рис. 4, 5, 6

Рис. 4

Рис. 5

Рис. 6
Параллельные транзакции (рис. 4) осуществляются между двумя любыми состояниями «Я» собеседников, причем реакция человека прямо связана с тем состоянием, которое затронул партнер по общению. Параллельные транзакции могут продолжаться долго. Длительное общение не во всех случаях бывает эффективным.
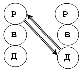
Особенность пересекающихся транзакций (рис. 5) в том, что реакция собеседника исходит не из того состояния «Я», на которое было направлено воздействие. Пересекающиеся транзакции препятствуют течению беседы. После пересекающейся транзакции коммуникации временно разрушаются. Партнеры при пересекающихся транзакциях говорят мимо друг друга.
Наиболее сложными являются скрытые транзакции (рис. 6), поскольку в них взаимодействие осуществляется сразу на двух уровнях — социальном (с) и психологическом (п). На социальном уровне произносится одно (на схеме отражается целостной линией), а на психологическом (пунктирная линия) подразумевается другое, причем партнеры это прекрасно понимают и реагируют не на социальный, а на психологический уровень. Таким образом, при скрытых транзакциях общение происходит на скрытом психологическом уровне.
Например, экзаменатор говорит студенту: «Вы не исполняете свой студенческий долг (с). Ты меня не хочешь слушать. Сейчас я тебе отомщу (п)». Послание направлено от Родителя к Дитя на социальном уровне и от Дитя к Родителю на психологическом. Студент на это отвечает: «Извините, я глупенький (с). Не переживай так! Ты выдающийся ученый, твои лекции – не для средних умов» (п). Послание направлено от Дитя к Родителю на социальном уровне и от Родителя к Дитя на психологическом.
Графически это будет выглядеть так, как представлено на рис. 7:

Рис. 7.
Общение как взаимодействие можно рассматривать с позиций ориентации на контроль и ориентации на понимание. Ориентация на контроль предполагает стремление контролировать ситуацию, управлять ею и поведением других, которое обычно сочетается с желанием доминировать во взаимодействии. Ориентация на понимание включает в себя стремление понять ситуацию и поведение других. Она связана с желанием лучше взаимодействовать и избегать конфликтов, с представлениями о равенстве партнеров в общении и необходимости достижения взаимной, а не односторонней удовлетворенности.
В общении сами того не осознавая, люди часто используют манипулятивные методы, особенно, когда они хотят от другого человека чего-то добиться. Манипуляция – это скрытое психологическое воздействие на партнера по общению с целью добиться от него выгодного поведения.
Таким образом, «скрытое» воздействие при манипуляции связано с тем, что внешний смысл слов, обращения или действия по отношению к другому человеку не совпадает со смыслом внутренним. Первый, как правило, является невинным, не содержащим какого-то ущемления потребностей другого человека, зато второй несет содержание, подводящее этого человека к тому, что хочет от него автор манипуляции. Получается, что человек, которым манипулируют, делает то, что нужно его партнеру по общению, будто бы сам это выбирая. В действительности его к этому выбору мягко подвели, и этот его выбор является несвободным и неосознанным.
Существуют не только однократные разовые манипулятивные действия, но и целые продолжительные манипулятивные игры. Игрой называют взаимодействия, содержащие слабость, ловушку, удар, расплату, вознаграждение. Игра может состоять из великого многообразия действий, но обязательно содержит те, которые приведены на рис. 8.

Рис. 8. Схема игры-мышеловки[23]
По мнению В.В. Макарова и Г.А. Макаровой особенности игр состоят в следующем:
· постоянное повторение;
· проигрывание вне состояния «Я-взрослого»;
· включают в себя обмен скрытыми взаимодействиями;
· всегда содержат ложь;
· укрепляют старые решения и позволяют репетировать будущие сцены[24].
Общение как познание людьми друг друга или межличностная перцепция. Восприятие в социальной психологии рассматривается как формирование целостного образа партнера по общению на основе оценки его внешнего вида, поведения и его (партнера) понимание. Содержание межличностного восприятия представлено в таблице 13.
Таблица 13.
Содержание межличностного восприятия
|
Функции межличностного восприятия |
Механизмы |
Результат межличностного восприятия |
|
Познание себя |
· Я-концепция; · рефлексия |
самопознание, самоутверждение, самоценка |
|
Познание партнера по общению |
· идентификация; · эмпатия; · аттракция |
нормы, ценности, поведение, вкусы и привычки другого, через отождествление, эмоциональное сопереживание или положительное отношение |
|
Понимание и прогнозирование поведения партнера по общению |
· каузальная атрибуция; · эффекты восприятия |
объяснение поступков и чувств другого человека, причин и мотивов его поведения |
Несколько подробнее остановимся на рассмотрении двух механизмов межличностного восприятия: аттракции и каузальной атрибуции.
Аттракция (привлечение) – представляет собой форму познания другого человека, основанную на формировании устойчивого позитивного чувства к нему.
Причиной возникновения положительных чувств партнеров по общению нередко бывает их внешнее или внутреннее сходство. Именно действие механизма аттракции заставляет нас приписывать привлекательному для нас человеку массу положительных качеств и оправдывать его иногда неблаговидные поступки. Некоторые люди умело этим пользуются, например мошенники – аферисты.
Каузальная атрибуция – приписывание воспринимаемому человеку определенных мотивов и причин, объясняющих его поступки и другие особенности.
Исследования показывают[25], что у каждого человека есть свои излюбленные схемы причинности, т.е. привычные объяснения чужого поведения:
1) люди с личностной атрибуцией в любой ситуации склонны находить виновника случившегося, приписывать причину произошедшего конкретному человеку;
2) в случае пристрастия к обстоятельственной атрибуции люди склонны, прежде всего, винить обстоятельства, не утруждая себя поисками конкретного виновника;
3) при стимульной атрибуции человек видит причину произошедшей ситуации в предмете, на который было направлено действие (ваза упала потому, что плохо стояла) или в самом пострадавшем (сам виноват, что попал под машину).
Кроме содержательного компонента межличностное восприятие обладает процессуальностью. Процессуальная составляющая перцепции включает разные эффекты: эффект проекции, эффект средней ошибки, эффект «ореола», эффект новизны и первичности, а также эффект, или явление, стереотипизации, возникающие при восприятии людьми друг друга, и искажающие истинную картину воспринимаемого.
Невербальное общение – это коммуникация между людьми без использования слов, т.е. «языком тела». «Язык тела» проявляется и считывается через: позу, движения (жесты), мимику, взгляды, «пространственное поведение» и характеристики голоса.
В качестве функций невербального общения выделяют:
· ориентацию в социальных ситуациях;
· регулирование своего поведения;
· восприятие социальных норм;
· более глубокое понимание другого;
· информационную.
Какую же информацию мы посылаем друг другу в ходе невербальной коммуникации? В невербальном общении мы получаем и несем информацию:[26]
· о признаках расовой (национальной), социальной и социально-демографической принадлежности окружающих;
· о физическом и психологическом состоянии (собственном и другого);
· об эмоциональном отношении к происходящему;
· о вариантах поведения и способах действий в конкретных ситуациях;
· о степени воздействия на человека тех или иных событий, обстоятельств;
· о психологическом климате группы;
· о личностных и индивидуальных свойствах (отношение к людям, их самооценка, энергичность, склонность к доминантности, общительность, темперамент, скромность и т.д.).
Древнегреческий философ Зенон считал, что два уха и один язык нам даны для того, чтобы больше слушать и меньше говорить. Поэтому большое значение для повышения эффективности общения играет умение человека слушать другого. При внимательном слушании мы не только получаем вербальную информацию, но и имеем возможность «узнать» об отношении говорящего к данной информации или свойствах и качествах личности самого говорящего, а также общем эмоциональном состоянии.
Просодику (или паралингвистику) как науку интересует интонация и громкость, скорость и тембр речи. Громкость и скорость речи связаны с динамической характеристикой личности, т.е. темпераментом. Например, холерики говорят много, громко и быстро, часто проглатывая окончания, в то время как речь флегматиков значительно лаконичнее и четче, произносится спокойным тоном в несколько медлительной манере.
Экстралингвистика акцентирует свое внимание на изучении внеречевых характеристик общающихся субъектов, таких как: паузы, вздохи, смех, плач или кашель. Умение держать паузу является одним из обязательных навыков менеджера. Многозначительное молчание заставляет собеседника признаваться в совершенных проступках.
Как уже упоминалось, кинесика изучает свойства общей моторики различных частей тела, такие как: поза, мимика, жесты, походка и визуальный контакт. О значении «языка тела» написано много книг. Более подробно с данной информацией можно познакомиться в научно-популярной книге С. Дерябо и В. Ясвина «Гроссмейстер общения» на с. 98-140.
К особенностям невербального общения относят следующие характеристики[27]:
· Осознанность - Неосознанность
· Намеренность - Ненамеренность
· Информационная нагрузка (60-70%)
· Знак – элемент поведения, внешности, движений индивида, несущий в себе информацию воспринимаемую другим независимо от воли первого.
· Сигнал – осознанно используемый знак, для передачи определенной информации.
Немаловажную информацию о характере отношений, ситуации общения между людьми несет расстояние, на котором общающиеся находятся друг от друга. Рассмотрим дистанции общения[28] подробнее (таблица 14).
Таблица 14.
Сводная характеристика дистанций в общении
|
№ |
Расстояние (м) |
Название зоны |
Собеседники |
Ситуация общения |
|
1 |
0 – 0,45 |
интимная |
родители, дети, влюбленные и т.д. |
духовная близость, полное доверие |
|
2 |
0,45 – 1,2 |
личная |
друзья, единомышленники |
доверие, обсуждение личных проблем, совместная деятельность |
|
3 |
1,20 – 2,0 |
социальная |
деловые контакты и приятельские отношения |
обменяться новостями, просто поболтать, анекдоты на перекуре |
|
4 |
2 –4 |
формальная |
начальник-подчиненный, деловой партнер |
прием у начальства, деловые переговоры, визит к чиновнику |
|
5 |
более 4,0 |
публичная |
аудитория |
выступления на собраниях, митинги |
1. Глядя на картинку, определите какое чувство отражено на каждом из девяти изображений. Свои ответы запишите, указав номер картинки.

Рис. 9
2. Проанализируйте один из предлагаемых отрывков по следующей схеме[29]:
· Это игра или манипуляция? Почему?
· В чем заключается уловка?
· В чем состоит уязвимое место?
· Нарисуйте схему (схемы) трансакций.
· В чем состоит выигрыш (практический, психологический, другие)?
· Как можно было бы выйти из игры/манипуляции?
· Придумайте или подберите подходящее название.
Ш. Перро.
Синяя Борода.
Через месяц после свадьбы Синяя Борода сказал своей жене, что он должен надолго уехать по очень важному делу...
— Вот, — сказал он, ключи от двух больших кладовых... Вот ключ, которым можно отпереть все комнаты. Вот, наконец, еще один маленький ключик. Он отпирает комнату, которая находится внизу, в самом конце темного коридора. Открывай все, ходи повсюду, но строго-настрого запрещаю тебе входить в эту маленькую комнатку. Если же ты не послушаешься меня и отопрешь ее, тебя ждет самое страшное наказание!..
Любопытство ее было так сильно, что она, наконец, не выдержала... Она взяла ключ и, дрожа всем телом, отперла комнату... Она увидела на полу лужу крови и несколько мертвых женщин. Это были прежние жены Синей Бороды, которых он убил одну за другой...
В тот же вечер неожиданно вернулся Синяя Борода... Наутро Синяя Борода потребовал у жены ключи...
— Почему на ключе кровь? — спросил Синяя Борода.
— Не знаю, отвечала бедная женщина и побелела, как снег.
— Ты не знаешь? — закричал Синяя Борода. — Ну, так я знаю! Ты заходила в запретную комнату. Хорошо же! Ты войдешь туда еще раз и останешься там навсегда, вместе с теми женщинами, которых ты там видела.
М. Митчелл.
Унесённые ветром.
...С холостыми молодыми людьми... можно позволить себе тихонько рассмеяться, поглядывая издали на кого-нибудь из них, а когда он со всех ног бросится к вам, чтобы узнать, почему вы смеялись, можно лукаво отнекиваться и все задорнее заливаться смехом, заставляя его до бесконечности допытываться о причинах такого веселья. Тем временем ваши глаза могут сулить ему такие волнующие мгновения, что он тут же постарается остаться с вами где-нибудь наедине. А когда ему это удастся и он попытается вас поцеловать, вам следует быть глубоко оскорбленной или очень-очень разгневанной. Следует заставить его вымаливать прощение за свою дерзость, а потом с такой чарующей улыбкой одарить его этим прощением, что он непременно повторит свою попытку еще раз. Время от времени, но не слишком часто, можно разрешить ему этот поцелуй. После этого необходимо расплакаться и начать твердить сквозь слезы, что вы не понимаете, что с вами творится, и, конечно, теперь он не сможет больше вас уважать. Тогда он примется осушать ваши слезы, и можно с уверенностью сказать, что тут же сделает вам предложение в доказательство того, сколь глубоко и незыблемо вас уважает.
3. Выполните следующие упражнения:
А. Отреагируйте на реплику с позиции Ребенка:
— Это что такое! Опять опоздание на работу.
Докажите, что ваша позиция — позиция Ребенка.
Б. Отреагируйте на реплику с позиции Взрослого, Ребенка, Родителя:
— Вы что, за свои слова отвечать не можете?
Докажите, что ваши позиции существенно отличаются.
1. Что представляет собой понятие «межличностные отношения»?
2. Выразите свое мнение относительно данных приведенных в таблице 9. Ответ аргументируйте.
3. В чем заключается сущность общения?
4. Какие цели преследуют люди, вступая в межличностное взаимодействие? Приведите примеры из собственной жизни.
5. Объясните двойственность характера роли акустического канала как средства общения.
6. Что такое игра? Перечислите ее особенности.
7. Зачем люди, вступая во взаимодействие с другими, начинают «манипулятивные игры»? Ответ аргументируйте.
8. Что произойдет, если во время деловых переговоров, один из партнеров нарушит комфортную зону общения для данной ситуации?
Базовый учебник:
1. Социальная психология. учебное пособие / Отв ред А. Л Журавлев. М.: ПЕРСЭ, 2002. – 350 с. http://www.koob.ru/zhuravlev_a_l/social_psych
Основная литература:
2. Дерябо С.Д, Ясвин В.А. Гроссмейстер общения. - М.: Смысл; СПб.: Питер, 2004.— 192 с.
3. Каменская Е.Н. Социальная психология: конспект лекций. – Ростов н/Д, 2009. – 186 с.
Дополнительная литература:
4. Барлас Т.В. Психологический практикум для «чайников»: Введение в профессиональную психологию. — М.: Независимая фирма «Класс», 2001. — 176 с.
5. Макаров В.В., Макарова Г.А. Транзактный анализ – восточная версия. – М.: Академический проект; Альма Матер, 2008. – 399 с.
6. Ратанова Т.А., Дымнова Т.И. Социальная психология. – М., 2003. – 194 с.
Цели изучения темы: развитие лидерских компетенций HR-менеджера в том числе, навыков предоставления обратной связи, оказания поддержки, умения слушать и убеждать собеседника, аналитических способностей.
Задачи изучения темы:
· актуализация понятий «социальная группа» и «малая группа»;
· получение представления о структуре малой группы и происходящих в ней групповых процессах;
· получение знаний об этапах развития малой группы;
· актуализация знаний о различных теориях и стилях лидерства.
Учебные вопросы:
1. Понятие и виды малых групп.
2. Структура и этапы развития малой группы. Групповая сплоченность.
3. Лидерство в малых группах.
4. Влияние группы на личность.
Теоретический материал по теме
Различного рода группы издавна являются объектом социально-психологического анализа. Для того чтобы какая-либо совокупность индивидов считалась группой в социально-психологическом смысле, необходимо наличие трех единств — места, времени и действия. При этом действие обязательно должно быть совместным. Важно также, чтобы взаимодействующие люди считали себя членами данной группы. Такая идентификация (отождествление) каждого из них со своей группой приводит в итоге к формированию чувства «мы» в противоположность «им» — другим группам.
Группа – два или более человека, которые взаимодействуют друг с другом, осознают свою групповую принадлежность и участвуют в совместной деятельности.
В социальной психологии существует различные классификации групп, с которыми вы знакомились в курсе «Организационное поведение»[30]. Напомним о некоторых из них, представленных в таблице 15.
Большие группы — это социальные общности людей, выделенные и объединенные на основе определенных признаков и действующие совместно в значительных социальных ситуациях. Они подразделяются на неорганизованные, стихийно возникшие группы, сам термин «группа» по отношению к которым весьма условен, и устойчивые по определенному классовому, национальному, половому, возрастному и другим признакам.
Таблица 15.
Классификация групп
|
№ |
Основание классификации |
Виды групп |
|
1 |
Размер группы |
малые, средние и большие |
|
2 |
Степень формализации отношений |
формальные (официальные) и неформальные (неофициальные) |
|
3 |
Уровень развития |
слаборазвитые и высокоразвитые |
|
4 |
Условия существования |
лабораторные и естественные |
|
5 |
Время существования |
временные и стабильные |
|
6 |
Степень значимости |
референтные и группы членства |
Малые группы — относительно немногочисленные по составу группы людей, объединенные общей социальной деятельностью, находящиеся между собой в непосредственном личном общении и взаимодействии. Они могут быть официальными, имеющими юридически фиксированный статус (их члены в условиях разделения труда связаны социально заданной деятельностью, организующей их труд), и неформальными, характеризующимися всеми признаками группы. Вместе со сложившейся системой межличностных отношений, совместной деятельностью и т.д., но не имеющими юридически оформленного статуса.
Малая группа имеет определенный количественный состав (от двух до нескольких десятков человек), структурную организацию, социально-психологические механизмы жизнедеятельности, групповую динамику. Качественными признаками малой группы являются контактность и целостность. Примерами малых групп являются: семья, компания друзей, соседская общность, школьный класс, студенческая группа, спортивная команда и т.д.
Формальные группы обычно выделяются как структурные подразделения в организации, имеют формального назначенного лидера, структуру ролей, должностей внутри группы и официально закрепленные за ними функции и задачи.
Неформальные группы создаются спонтанно членами организации в соответствии с их взаимными симпатиями, общими интересами, увлечениями, привычками, без распоряжения руководства и формальных решений. Взаимодействие членов группы осуществляется на основе общих интересов и связано с достижением общих целей.
Степень развития группы определяется такими параметрами, как достаточная психологическая общность, сложившаяся структура, четкое распределение обязанностей, наличие признанных лидеров, налаженные деловые и личные контакты. Слаборазвитые группы характеризуются отсутствием или недостаточным развитием всех или нескольких параметров.
Лабораторные группы — это те группы, которые создаются экспериментатором для проведения исследования, существуют временно, только в лаборатории. В отличие от них существуют реальные естественные группы. Эти группы складываются сами по себе исходя из потребностей общества или членов группы.
Структура группы, а так же групповые процессы, групповые нормы и ценности, система санкций составляют психологические характеристики малых групп и коллективов.
Структура группы — упорядоченная система взаимодействий и взаимоотношений участников совместной деятельности, элементом которой является статус отдельного члена группы в отношении остальных.
На рис. 10 представлены виды структуры группы,[31] порождаемые процессами деятельности и общения.

Рис. 10. Структура группы
Формальная структура группы это совокупность связей и отношений между индивидами, определяемая формальными предписаниями (должностными инструкциями, официальной структурой организации, формальным статусом индивидов). Формальная структура представляет собой довольно устойчивое образование и составляет иерархическую систему, расположенную по принципу «руководитель—подчиненные». Причем количество иерархических ступеней зависит от размера группы и ее социального статуса.
Функциональная структура группы определяется распределением между ее членами функций, необходимых для достижения цели совместной деятельности (в том числе функций руководства и исполнения).
Структура социальной власти и влияния в малой группе — это совокупность связей между индивидами, характеризуемая направленностью и интенсивностью их взаимного влияния
Неформальная структура группы определяется психологическими особенностями личности участников совместной деятельности, такими, как профессиональные и коммуникативные знания и способности, жизненный опыт, особенности индивидуальности и пр. Неформальная структура группы также представляет собой иерархическую систему, но не жесткую. Эта система формируется на основе межличностных взаимоотношений и состоит из следующих статусных позиций: а) лидер; б) принятые; в) изолированные; г) отвергнутые (табл. 16).
Таблица 16.
Статусные позиции в группе
|
Статусные позиции |
Характеристика |
|
Лидер |
Член группы, который имеет наиболее высокий положительный статус, т. е. пользуется авторитетом у остальных и имеет на них влияние, определяет алгоритм решения стоящих перед группой задач |
|
Принятые |
Члены группы, имеющие средний положительный статус и, как правило, поддерживающие лидера в его усилиях решить групповую задачу |
|
Изолированные |
Члены группы, имеющие нулевой статус и самоустранившиеся от участия в групповом взаимодействии, причинами такого поведения могут быть личностные особенности (например, застенчивость, интроверсия, чувство неполноценности и неуверенности в себе) |
|
Отвергнутые |
Члены группы, имеющие отрицательный статус, сознательно или бессознательно отстраненные от участия в решении групповых проблем |
Коммуникативная структура малой группы — это совокупность связей между ее членами, характеризуемых процессами приема и передачи информации, циркулирующей в группе.
Ролевая структура малой группы – это совокупность связей и отношений между людьми, характеризуемых распределением между ними групповых ролей, т.е. типичных способов поведения, представленных в таблице 17.
Таблица 17.
Характеристика групповых ролей в зависимости от ситуации[32]
|
Ситуация |
Название |
Характеристика |
|
Роли, связанные с решением задач |
Инициатор |
Предлагает новые идеи и подходы к проблемам и целям группы. Предлагает способы преодоления трудностей и решения задач |
|
Разработчик |
Детально прорабатывает идеи и предложения, выдвинутые другими членами группы |
|
|
Координатор |
Комбинирует идеи и предложения и пытается координировать деятельность других членов группы |
|
|
Контролер |
Направляет группу к ее целям, подводит итог того, что в ней уже произошло, выявляет отклонения от намеченного курса |
|
|
Оценщик |
Критически оценивает работу группы и предложения других, сравнивая их с существующими стандартами выполнения поставленной задачи |
|
|
Погонщик |
Стимулирует группу и подталкивает ее членов к действиям, к новым решениям и к тому, чтобы сделать больше уже сделанного |
|
|
Роли, связанные с оказание поддержки |
Вдохновитель |
Поддерживает начинания других, выказывает понимание чужих идеи и мнений |
|
Гармонизатор |
Служит посредником в ситуациях, когда между членами группы возникают разногласия и, таким образом, сохраняет в группе гармонию |
|
|
Примиритель |
Поступается в чем-то своим мнением, чтобы привести в соответствие мнения других, и, таким образом, поддерживает в группе гармонию |
|
|
Диспетчер |
Создает возможности для общения, побуждая к нему других членов группы и помогая им, и регулирует процессы общения |
|
|
Нормировщик |
Формулирует или применяет стандарты для оценки происходящих в группе процессов |
|
|
Ведомый |
Пассивно следует за группой. Выступает в роли зрителя и слушателя в групповых дискуссиях и при принятии решений |
Групповая норма является неким стандартом поведения в малой группе, регулятором существующих в ней отношений и причисляется к элементам групповой структуры, так как тесно связана с ними (например, со статусом, ролью).
Групповые нормы — это определенные правила, которые выработаны группой, и которым должно подчиняться поведение ее членов.
Нормы группы основываются на определенной системе групповых ценностей, т.е. должны получить обоснование как значимые для группы и для ее отдельных участников. Групповые ценности складываются благодаря выработке определенного отношения к социальным явлениям, обусловленного реальным местом этой группы в обществе, ее опытом и целями.
Групповые санкции выступают как механизм поддержания поведения членов группы в рамках соответствующих групповых норм. Они могут быть поощрительными и запретительными. Существует определенная зависимость между статусом индивида в группе и соблюдением групповых норм. Как правило, люди с высоким статусом в большей степени стремятся соответствовать нормам, но им легче прощаются и нарушения.
Существование малой группы рассматривается как процесс непрерывного изменения состояний и свойств группы, получившего название развития группы. В современной социальной психологии процесс развития малой группы понимается как закономерная смена этапов (или стадий), различающихся по характеру доминирующих тенденций во внутригрупповых отношениях, дифференциации и интеграции.
В качестве психологических механизмов развития малой группы выступают: разрешение внутригрупповых противоречий, «психологический обмен» и «идиосикразический кредит». Последний, характеризует степень доверия, выражающуюся в предоставление группой высокостатустным её членам возможности отклоняться от её норм, вносить изменения в её жизнедеятельность, при условии, что они будут способствовать более полному достижению её целей.
В концепции Л.И. Уманского[33] поэтапное развитие группы характеризуется как последовательная смена стадий, различающихся степенью психологической интегрированности в деловой и эмоциональной сферах. Отличительными признаками развития группы выступают, направленность (содержание групповых целей, мотивов и ценностей), организованность, подготовленность к выполнению совместной деятельности, интеллектуальная, эмоциональная и волевая коммуникативность, стрессоустойчивость. Целостными характеристиками группы выступают также сплоченность, микроклимат, референтность, лидерство, интрагрупповая и интергрупповая активность.
Развитие группы происходит в диапазоне, высшую точку которого занимает коллектив — реальная контактная группа, отличающаяся интегративным единством направленности, организованности, подготовленности и психологической коммуникативности, а крайнюю низшую точку этого развития представляет группа-конгломерат, только что сформированная или собравшаяся группа людей, у которых отсутствуют все эти параметры.
В предложенном диапазоне автор выделяет следующие основные этапы развития группы как коллектива. Номинальная группа характеризуется внешним, формальным объединением индивидов вокруг поставленных социальных задач. Группа-ассоциация отличается начальной межличностной интеграцией в сфере эмоциональных отношений. Группа-кооперация характеризуется преобладанием интегративных тенденций в сфере деловых отношений. Группа-автономизация обладает высоким внутренним единством как в сфере деловых, так и в сфере эмоциональных отношений. Изоляция группы и концентрация активности ее членов на узкогрупповых целях приводит к формированию группы-корпорации или конгломерату. Отличительной особенностью коллектива является его интеграция с другими группами на основе направленности на более широкие социально значимые цели. Динамика коллективообразования представляет собой сложный процесс, включающий как этапы быстрого продвижения по уровням, так и периоды длительного пребывания на одном и том же уровне и даже его снижения. Для наглядности этапы развития группы представлены на рис. 11.

Рис. 11. Модель развития группы Л.И. Уманского
Групповая сплоченность одна из важнейших характеристик группы, обеспечивающая эффективность ее деятельности.
Сплоченность группы характеризуется устойчивостью и единством межличностных взаимоотношений и взаимодействий, что обеспечивает стабильность и преемственность деятельности группы.
Групповая сплоченность проявляется в создании единой социально-психологической общности людей, входящих в группу, и предполагает возникновение системы свойств группы, препятствующих нарушению ее психологической целостности. К таким свойствам обычно относят[34]:
1) характер межличностных эмоциональных взаимоотношений членов группы (взаимные симпатии, общие интересы, эмоциональные переживания);
2) характер отношений между членами группы в процессе совместной деятельности (взаимопомощь, поддержка, сотрудничество);
3) характер ценностных ориентации, установок, целей, стереотипов поведения членов группы.
Выделяют следующие факторы групповой сплоченности:
· размер группы
· время существования
· престижность группы
· единство целей и установок
· взаимосвязь и сложность задач
· возраст
· внешняя угроза
· мотивация и распределение ресурсов
Результатом групповой сплоченности является жесткий групповой контроль над взглядами и поступками ее членов, строгое соблюдение групповых норм, высокая степень принятия людьми групповых ценностей, устанавливается атмосфера внимательного отношения и взаимной поддержки, формируется чувство групповой принадлежности, что способствует стабильности и устойчивости взаимоотношений в группе в стрессовых ситуациях.
Сплоченность предполагает готовность членов группы поддерживать друг друга в совместной деятельности и стрессовых ситуациях. В качестве предпосылок сплоченности выступают:
1. срабатываемость, которая основана на согласованности действий и процессе совместной трудовой деятельности. Она представляет собой одновременно и процесс, и результат совместной работы;
2. совместимость, которая возникает как итог достаточно продолжительного взаимодействия людей, характеризующегося удовлетворенностью их друг другом. Совместимость формируется на трех уровнях: психофизиологическом, психологическом и социально-психологическом (рис. 12).

Рис. 12. Уровни совместимости партнеров
Психофизиологическая совместимость предполагает удовлетворенность людей друг другом на основе схожести таких индивидных характеристик, как время реакции, скорость и интенсивность протекания психических процессов и пр. На этом уровне совместимость зависит в основном от темперамента взаимодействующих людей. Так, например, если на конвейере рядом работают холерик и флегматик, то их совместно-последовательная деятельность будет затруднена.
Психологическая совместимость предполагает удовлетворенность людей друг другом на основе подобия или различия характерологических свойств, качеств личности, способностей, интеллектуального потенциала (при различных психических свойствах она может сформироваться за счет их взаимодополнения). Она важна в семье, группе друзей и пр.
Социально-психологическая совместимость предполагает сходство ценностных ориентации и идеалов, принципов, уровня профессиональной подготовки и образования. Она важна в деятельности трудовых коллективов и служит основой их сплоченности.
Кроме рассмотренных уровней совместимости, выделяют ее типы (табл. 18.)
Таблица 18.
Сравнительная характеристика типов межличностной совместимости разных авторов
|
Авторы |
Типы совместимости |
|
|
М. Шоу |
Потребностная – эффект сложного сочетания ведущих потребностей и целей взаимодействующих людей. |
Поведенческая – соответствие поведенческих моделей, реализуемых в значимых групповых ситуациях. |
|
Н.Н. Обозов и А.Н. Обозов |
Структурная – совместимость на уровне темперамента, характера и личностных качеств партнеров (взаимодополняемость и сходство). |
Функционально-ролевая - соответствие в представлениях партнеров о ролях, которые они реализуют сами и ожидают от других в процессе общения и взаимодействия. |
Сработанность - эффект сочетания и взаимодействия людей, позволяющий добиваться высокой успешности совместной работы и удовлетворенности своим трудом и друг другом.
Эффективная совместная деятельность предполагает необходимость общей цели, которая часто рассматривается как системообразующий фактор совместной деятельности.
Суть совместной деятельности состоит в обеспечении возможно более высокой степени со-организованности индивидуальных субъектов и в придании их индивидуальным активностям характера со-активности.
В настоящее время существуют различные теории, объясняющие возникновение феномена лидерства.
Лидерство – это феномен воздействия или влияния индивида на мнения, оценки, отношения и поведение группы в целом или отдельных ее членов.
Феномен лидерства возникает в проблемных ситуациях, с которыми сталкивается группа в своем поведении.
Все многообразие существующих теорий можно объединить в три эволюционно возникающих направления исследования: персонологическое (или структурное, например «теория черт»), ситуационное (или функциональное) и системное.
«Теория черт» (иногда называется «харизматической теорией») исходит из положений немецкой психологии конца 19 - начала 20 в. и концентрирует свое внимание на врожденных качествах лидера.
Лидером, согласно этой теории, может быть лишь такой человек, который обладает определенным набором личностных качеств или совокупностью определенных психологических черт. Различные авторы пытались выделить эти необходимые лидеру черты или характеристики. В американской социальной психологии эти наборы черт фиксировались особенно тщательно, поскольку они должны были стать основанием для построения систем тестов для отбора лиц - возможных лидеров. Но уже в 40-х гг. ХХ века было выявлено, такое многообразие характеристик, часто противоречащих друг другу. Существующий разнобой дал основание усомниться вообще в возможности составить более или менее стабильный перечень черт, необходимых лидеру и, тем более, существующих у него.
На смену теории черт пришло новое объяснение происхождения лидерства, сформулированное в «ситуационной теории», утверждающей, что лидерство – есть продукт ситуации. В различных ситуациях групповой жизни выделяются отдельные члены группы, которые превосходят других по крайней мере в каком-то качестве, но поскольку именно это качество и оказывается необходимым в данной ситуации, человек, им обладающий, становится лидером. Несмотря на критику ситуационная теория оказалась достаточно популярной: именно на ее основе проведена масса экспериментальных исследований лидерства в школе групповой динамики.
Третий вариант был представлен в так называемой системной теории лидерства, согласно которой лидерство рассматривается как процесс организации межличностных отношений в группе, а лидер - как субъект управления этим процессом. При таком подходе лидерство интерпретируется как функция группы, и изучать его, поэтому следует с точки зрения целей и задач группы, хотя и структура личности лидеров при этом не должна сбрасываться со счетов. Рекомендуют учитывать и другие переменные, относящиеся к жизни группы, например, длительность ее существования. Большинство отечественных исследований лидерства осуществляется в рамках близких данному направлению.
Часто наряду с феноменом лидерства говорят и о руководстве. Данные термины некоторые авторы используют как синонимы, хотя другие акцентируют свое внимание на отличительных характеристиках данных феноменов. Сравнительная характеристика неформального лидерства и формального руководства представлена в таблице 19.
Таблица 19.
Различия неформального лидерства и формального руководства
|
Лидерство |
Руководство |
|
регуляция межличностных отношений в группе |
представляет группу во вне |
|
действует в условиях микросреды |
элемент макросреды |
|
возникает стихийно |
является целенаправленным |
|
выдвижение лидера случайно, зависит от настроения группы |
явление более стабильное |
|
санкцией выступает благо расположение |
обладает системой различных санкций |
|
принимает более непосредственные решения |
процесс принятия решения более сложен и зависит от различных обстоятельств и соображений |
Практически в каждом учебнике при упоминании лидерства и руководства авторы не обходят своим вниманием лидерские стили или стили управления. В виду частоты упоминаний лишь обозначим существующие концепции стилей управления.
Стиль управления – способ поведения руководителя для побуждения подчиненных к достижению цели организации.
Ныне рассматриваемые как традиционные стили управления предложены еще в первой половине ХХ века исследовательской группой К. Левина: авторитарный, демократический и либеральный (или попустительский). Каждый из перечисленных стилей имеет как преимущества, так и недостатки, поэтому более эффективным становится руководитель умеющий использовать выделенные стили в зависимости от ситуации, т.е. использует смешенный стиль управления.
Современный идеолог менеджмента И. Адизес предлагает рассматривать четыре роли-стиля лидерства. А для эффективного лидерства необходимо овладеть (проявить) высокий уровень развития минимум 2, а лучше 3 выделенных ролей-стилей.
И. Адизес[35] выделяет четыре ключевые роли менеджера необходимые ему для эффективной деятельности: производителя (Р), управляющего (A), предпринимателя (Е) и интегратора (I).
P (producing results) – производитель результата характеризуется:
· результативностью в краткосрочном периоде,
· обеспечением результатов, ради которых существует организация,
· удовлетворением потребностей клиентов.
Он нетерпелив, активен и всегда занят, у него нет времени на пустую болтовню.
A (administration) – управляющий, успешен:
· в администрировании,
· в краткосрочном периоде,
· в систематизации,
· в определение рутин и процедур,
· в построение эффективной системы управления.
Очень педантичные и аккуратные, разрабатывают методы и процедуры, чтобы убедиться, что все делается «правильно».
E (entrepneurship) – предприниматель, ответственен за:
· инициации изменений в организации
· приспособление к новым угрозам и возможностям.
Прорицатели и фантазеры с мечтами, планами и схемами. Успех им приносят креативность и риск. Они предпочитают разрабатывать долгосрочное видение.
I (integration) – интегратор необходим:
· для обеспечения отсутствия незаменимых людей,
· для создания командного взаимодействия,
· для сотрудничества.
Дружелюбные и сопереживающие, они первые приходят на помощь при решении задач и проблем. Они предпочитают работать в согласии, а не отстаивать свою позицию.
Обучение тому, что обозначено как «Р» и «А», ведут в школах менеджмента, а также на рабочем месте с применением правил организации.
Способностям, которые требуются для ролей «Е» и «I» — обучить невозможно. Они развиваются только с опытом.
Тех, кто имеет минимум «I» - способности, обучают реагировать на перемены, управлять эмоциями и тренировать лидерские качества.
Взаимодействие группы и личности носит двусторонний характер: с одной стороны человек своими действиями способствует решению групповых задач, с другой – группа помогает удовлетворять потребности человека в безопасности, любви, уважении, самовыражении, формировании личности, устранении беспокойства и т.п.
Превосходство группы над человеком выражается в:
· отсеивании неэффективных предложений;
· социальной поддержке, облегчающей мышление;
· соревновательности мобилизующей энергию членов группы на больший вклад в решение задач.
Влияние группы на личность рассматривается с точки зрения трех возникающих феноменов: социальной фасилитации, социальной ингибиции и группового давления.
Социальная фасилитация – это повышение производительности деятельности, ее скорости и качества, когда она совершается в присутствии других людей или в ситуации соревнования.
Социальная ингибиция – снижение производительности деятельности, ее скорости и качества, когда она совершается в присутствии других людей.
Отдельно следует остановиться на феномене группового давления, или конформизме. Конформизм – это мера «подчинения» индивида групповому давлению. Феномен группового давления возникает при необходимости принятии группового решения.
Выделяют конформизм внешний, когда под давлением большинства группы индивид изменяет свое поведение, демонстрируя согласие, остается при своем мнении. Внутренний конформизм проявляется индивидом, когда он доверяет определенной информации и демонстрирует свое полное согласие.
Рассмотрим в качестве примера функционирования малой группы – обычную семью. Предположим, в семье обязательны совместные воскресные обеды или периодические выезды на природу (ценность совместности). К групповым нормам можно отнести распределение обязанностей по дому (ценность труда и вклада в семейный быт). В качестве идентификационных характеристик могут выступать: гордость своей фамилией, знание любимой семейной песни, наличие любимого места отдыха и пр. В качестве санкций может выступать порицание взрослых (упреки) или лишение чего-то важного (возможности общаться по телефону, играть на компьютере и др.). Феномен конформизма наиболее ярко проявляется, когда мы хотим избежать наказания. «Ты все понял?» – спрашивает взрослый. «Да, да. Я больше так не буду» - отвечает ребенок.
1. Решите предложенные задачи[36]:
Задача 1. Определите, к какому типу относится группа людей из 15 человек, если известно, что:
a) они почти не знают друг друга;
b) их всех знает человек, который не входит в эту группу;
c) члены группы никогда не собираются вместе.
Задача 2. Определите, к какому типу относится группа из 15 человек, если известно что:
a) эти люди хорошо знают друг друга;
b) часто бывают вместе;
c) у них есть руководитель, назначенный в эту группу.
Задача 3. Определите, к какому типу относится группа из 15 человек, если известно, что:
a) члены этой группы знают друг друга;
b) говорят о своей группе «мы»;
c) работают вместе.
Задача 4. Определите, к какому типу группы относится объединение людей (15 человек), если они уже час ждут на остановке опаздывающий пригородный автобус.
Задача 5. Определите, к какому типу группы относится объединение людей (7 человек), застрявших в лифте административного здания в рабочее время на 4-м этаже.
1. Дайте определение малой группы.
2. Почему люди объединяются в малые группы? Назовите основные механизмы образования малых групп (формальных и неформальных).
3. Расскажите об основных типах коммуникативных структур малой группы.
4. Опишите феномен групповой сплоченности.
5. В чем суть основных этапов, которые проходит группа в своем развитии?
6. Почему сложно совмещать роли руководителя и лидера?
7. Дайте определение лидерства.
8. Какие стили лидерства выделяют? Чем они характеризуются?
9. Отчего зависит эффективность использования того или иного стиля лидерства?
10. Можно ли по манерам человека определить, является ли он лидером в референтной для него группе?
Базовый учебник:
1. Социальная психология. учебное пособие / Отв ред А. Л Журавлев. М.: ПЕРСЭ, 2002. – 350 с. http://www.koob.ru/zhuravlev_a_l/social_psych
Основная литература:
2. Баранова И.П. Организационное поведение. – М.: Маркет ДС, 2007. – 168 с.
3. Каменская Е.Н. Социальная психология: конспект лекций. – Ростов н/Д, 2009. – 186 с.
Дополнительная литература:
1. Абрамова Г.С. Сборник задач по социальной психологии и психологии развития. М., 1999. – 144 с.
2. Адизес И. Развитие лидеров: Как понять свой стиль управления и эффективно общаться с носителями иных стилей /Пер. с англ. – М.: Альпина Бизнес Букс, 2008. – 259 с.
3. Кричевский Р.Л., Дубовская Е.М. Социальная психология малой группы: Учебное пособие для вузов. — М.: Аспект Пресс, 2009. – 318 с. http://www.koob.ru./krichevsky/
4. Шалагинова Л.В. Психология лидерства. – СПб.: Речь, 2007. – 464 с.
Цели изучения темы: знакомство с механизмами возникновения межгрупповых отношений и их особенностями.
Задачи изучения темы:
· ознакомление с понятием «межгрупповые отношения»;
· получение представления о процессах межгрупповой дифференциации и интеграции;
· понимание и усвоение факторов детерминации межгрупповых отношений;
· повышение компетентности объективности (в частности адекватности оценки независимо от ситуации).
Учебные вопросы:
1. Межгрупповые отношения.
2. Процессы межгрупповой дифференциации и интеграции.
3. Причины возникновения предубеждений к представителям других групп.
Теоретический материал по теме
Прежде чем рассматривать процессы межгрупповой дифференциации и интеграции необходимо остановиться на понятии межгрупповых отношений.
Межгрупповые отношения есть совокупность социально-психологических явлений, характеризующих субъективное отражение (восприятие) многообразных связей, возникающих между социальными группами, а также обусловленный ими способ взаимодействия групп.
Попытки описать межгрупповые отношения, в частности межгрупповой агрессии предпринимались фактически с момента существования социальной психологии (Г. Лебон, У. Макдугал)[37], хотя основательные исследования и эксперименты начались после второй мировой войны. Это связанно со специфическим объектом социальной психологии, на который указывал Б.Ф. Поршнев[38], утверждая о необходимости рассматривать общность как двустороннее образование: социально-объективное и субъективное психологическое объединение людей.
Основные стратегии взаимодействия групп:
· Соперничество;
· Сотрудничество;
· отношения неучастия.
Доминирующей стратегией взаимодействия следует считать стратегию соперничества. Исходя из объяснения возникновения данной стратегии взаимодействия, выделяют четыре направления изучения межгрупповых отношений. Рассмотрим их подробнее.
Первое направление связано с изучением отношений между большими социальными группами в рамках всего общества на уровне социальной стратификации. Страта - это социальный слой или класс, который имеет собственный социальный статус и свое место в системе общественной жизни. В любом обществе традиционно выделяется три страты: высшая, средняя и низшая, каждая из которых в свою очередь также подвержена дифференциации на три аналогичных уровня. Это направление разрабатывалось в рамках социологии, а наиболее известной является теория К. Маркса о социальных классах.
К высшему социальному слою принадлежат богатые, влиятельные люди, обладающие ресурсами власти и престижа, в силу чего их положение прочно и не зависит от социально-экономических изменений в обществе. Сюда же относятся политики, банкиры, владельцы крупных фирм, добившиеся положения благодаря личным качествам, но не имеющие высокого (аристократического) происхождения.
Средний класс включает социальный слой, считающийся богатством нации, движущей силой научно-технического и социального прогресса: это научная элита, деятели культуры и искусства, крупные юристы, врачи, выдающиеся спортсмены. Его представляют управляющие фирм и бизнесмены, наемные работники: инженеры, чиновники, преподаватели, научные работники, руководители предприятий, высококвалифицированные рабочие. Мощный средний класс - основа стабильности и благополучия общества.
К низшим слоям относят наемных рабочих, создающих прибавочную стоимость и находящихся в зависимости от высших классов из-за перераспределения общественного продукта.
Кроме перечисленных, определенный социальный слой представлен деклассированными элементами (безработными, нищими, бомжами, маргинальными элементами), количество которых последнее время неуклонно возрастает.
Второе – занимается изучением межгрупповых отношений в условиях, когда одна группа выступает в качестве лидера, а другая (или другие) следуют за ней.
Третье направление связано с исследованием отношений между малыми группами. Огромный вклад в развитие данного направления внесли эксперименты М. Шерифа проведенные в середине 50-х годов ХХ века. В исследованиях М. Шерифа была теоретически обоснована и экспериментально доказана возможность снижения межгрупповой враждебности за счет изменения ситуации межгруппового взаимодействия (постановка общих целей, привлекательных для каждой из групп и требующих сотрудничества для их достижения). В результате этих экспериментов были выделены следующие виды межгрупповых отношений:
· кооперация;
· конкуренция (соревнование, соперничество);
· межгрупповой конфликт;
· отношения независимости.
Конкуренция и конфликт связаны с тенденцией дифференциации, а кооперация (сотрудничество, компромисс) – с тенденцией интеграции.
Четвертое направление – изучает влияние межгрупповых отношений на внутригрупповые процессы (Г. Тэджфелд и Дж. Тернер)[39]. В рамках данного направления были исследованы эффекты внутригруппового фаворитизма и внешнегрупповой дискриминации, которые с точки зрения Г. Тэджфелда являются универсальными феноменами психологии межгрупповых отношений.
Внутригрупповой фаворитизм может обозначать и эмоциональную приверженность индивида к группе членства, и обусловленное результатами межгруппового сравнения и оценки внутригрупповое предпочтение по тем или иным критериям, и стремление благоприятствовать успеху своей группы в условиях межгруппового соревнования или конкуренции, и проявление негативного, враждебного отношения к представителям других групп. В перечисленных случаях речь идет о разных аспектах межгрупповых отношений.
Этноцентризм проявляется в чувстве превосходства своей этнической и культурной группы и одновременной неприязни, враждебности по отношению к другим. У. Самнер рассматривал этноцентризм как универсальный механизм взаимодействия между этническими группами, в соответствии с которым проявление негативизма и враждебности по отношению к другим этносам является необходимым условием поддержания внутригруппового единства в рамках собственного этноса.
Т. Адорно показал, что враждебное отношение к представителям других этнических групп связано с определенным набором психологических качеств, характерных для так называемой авторитарной или этноцентрической личности: установка на неукоснительное почитание внутригрупповых авторитетов, чрезмерная озабоченность вопросами статуса и власти, стереотипность суждений и оценок, нетерпимость к неопределенности, склонность подчиняться людям, наделенным властью, и нетерпимость к тем, кто находится на более низком статусном уровне.
Основной функцией межгрупповых отношений является сохранение, стабилизация и развитие групп как функциональных единиц общественной жизни.
При взаимодействии с другими группами каждая группа стремится к более-менее устойчивому состоянию посредством сохранения относительного баланса тенденций интеграции и дифференциации.
Как было сказано выше в ходе межгрупповых отношений реализуются процессы межгрупповой дифференциации и интеграции. Остановимся на их рассмотрении подробнее.
Межгрупповая дифференциация – это социально-психологические процессы межгруппового восприятия, сравнения и оценки, связанные с установлением различий между своей и другими группами. В теории межгрупповых отношений Г. Тэджфела и Дж. Тернера, оно используется в связи с понятиями социальной категоризации, идентификации и сравнения.
Социальная категоризация — когнитивный процесс упорядочивания индивидом своего социального окружения путем распределения социальных объектов (в том числе — окружающих людей и себя самого) по группам («категориям»), имеющим сходство по значимым для индивида критериям.
Социальная идентификация — процесс отнесения индивидом себя к тем или иным социальным категориям, субъективное переживание им своей групповой социальной принадлежности.
Социальное сравнение — процесс соотнесения качественных признаков различных социальных групп, результатом которого является установление различии между ними, т.е. межгрупповая дифференциация.
Таким образом, термином межгрупповая дифференциация обозначается, с одной стороны, установление различий между своей и другой группой, а с другой — дифференциация психологических отношений к своей и другой группе. При этом часто содержание явления межгрупповой дифференциации связывается с такими феноменами, как межгрупповой конфликт, внешнегрупповая враждебность, внутригрупповой фаворитизм и др.
Межгрупповая дифференциация связана с двумя социально-психологическими процессами, проявляющимися в установлении различий между своей и другими группами. Во-первых, процесс формирования внутригруппового предпочтения как проявление эмоциональной приверженности к своей группе, являющейся необходимым условием сохранения психологического единства группы. Во-вторых, процесс межгруппового сопоставления и сравнения, являющийся необходимым условием и предпосылкой согласованной совместной деятельности и межгруппового взаимодействия, какую бы форму это взаимодействие ни принимало.
Процессы межгрупповой дифференциации и внутригрупповой интеграции тесно взаимосвязаны и взаимно обусловливают друг друга.
Межгрупповая интеграция – определяет качественное содержание, характер отношений, складывающихся между группами в процессе совместной жизнедеятельности, взаимодействия и общения. Интеграция, содержит в себе то общее, что способствует развитию тенденции к объединению в том или ином аспекте.
Интегративные тенденции в межгрупповых отношениях характеризует наличие между группами таких связей и зависимостей, которые способствуют их объединению, взаимосодействию, более успешной реализации функций как своей группы, так и той более широкой общности, в которую включены обе взаимодействующие группы.
Дезинтегративный характер носят противоборство, конфликты, групповой эгоизм и враждебность во взаимодействии между представителями различных групп, предубежденность и предвзятость в представлениях и оценках друг друга.
Возможно также проявление тенденции ко взаимной межгрупповой изоляции, когда взаимосвязи, взаимодействие и общение между группами сокращаются до минимума. Именно характер межгруппового взаимодействия, кооперативного (сотрудничество) или конкурентного (соперничество, противодействие) определяет, какой из двух процессов — интеграция или дезинтеграция преобладает во взаимоотношениях между группами.
Причины возникновения предубеждений к представителям других групп скрыты в особенностях межгруппового восприятия.
Межгрупповое восприятие – взаимное восприятие групп, обладающее структурными, динамическими и содержательными характеристиками.
Структурные характеристики связаны с согласованностью и унифицированностью восприятия представителей одной группы. Динамическая характеристика отражает большую устойчивость (ригидность, консервативность) межгруппового восприятия по отношению к межличностному. А содержательная характеристика представлена большей оценочностью.
Если говорить о сущности предубеждения, то важно акцентировать внимание на трех аспектах его существования:
· это обобщенная установка, ориентирующая на враждебное отношение ко всем членам определенной этнической группы, независимо от их индивидуальности;
· эта установка имеет характер стереотипа, то есть нечто, предшествующее рассудку и сознательному убеждению;
· эта установка обладает большой устойчивостью и очень плохо поддается изменению под влиянием рациональных доводов.
Для исследования предубеждений можно воспользоваться двумя путями:
1) у предубеждения как психологического феномена есть свои конкретные носители. Поэтому, нужно исследовать психику предубежденных людей.
2) предубеждение - это социальный факт, общественное явление, которое человек усваивает из общественного сознания. Следовательно, чтобы понять природу этнических предубеждений, нужно изучать не столько предубежденного человека, сколько порождающее его общество.
Пример М. Горький «Жизнь Клима Самгина»: «Когда русский украдет, говорят: «Украл вор», а когда украдет еврей, говорят: «Украл еврей». Почему? Потому что в соответствии со стереотипом (евреи-жулики) внимание фиксируется не столько на факте воровства, сколько на национальности вора.
Человек сам отбирает свои впечатления, предубежденному не составляет труда найти примеры, подтверждающие его точку зрения. Когда же его личный опыт противоречит стереотипу, он воспринимает такой факт как исключение.
Если бы завтра начали преследовать рыжих, то послезавтра все рыжие стали бы симпатизировать и поддерживать друг друга. С течением времени это чувство солидарности войдет в привычку и будет передаваться из поколения в поколение. И цементировалась бы эта солидарность не цветом волос, а враждебным отношением со стороны остального общества. В этом смысле этнические предубеждения и любые формы дискриминации активно способствуют сохранению национальной обособленности и формированию крайних форм национализма у малых народов.
Представитель господствующей нации (группы) воспринимает зависимую народность прежде всего сквозь призму своего главенствующего положения. Порабощенные народы рассматриваются как низшие, неполноценные, нуждающиеся в опеке и руководстве. Меньшинство представляется как соперник и конкурент в экономической и социальной областях. Чем опаснее конкурент - тем большую враждебность он вызывает. Стереотип группы-конкурента наделяется такими качествами, как агрессивность, безжалостность, эгоизм, жестокость, хитрость, лицемерие, бесчеловечность, алчность.
Индивидуальные качества личности, представителя другой группы, заслоняются общим и заведомо односторонним стереотипом.
1. Что представляет собой понятие «межгрупповые отношения»? Какие виды межгрупповых отношений существуют?
2. Почему соперничество считают доминирующей стратегией межгруппового взаимодействия?
3. Охарактеризуйте стратегии взаимодействия групп. Приведите примеры.
4. Каковы четыре направления изучения межгрупповых отношений?
5. Что такое межгрупповая дифференциация и интеграция? Чем они характеризуются?
6. В чем суть предубеждения к представителям других групп?
Базовый учебник:
1. Социальная психология. учебное пособие / Отв ред А. Л Журавлев. М.: ПЕРСЭ, 2002. – 350 с. http://www.koob.ru/zhuravlev_a_l/social_psych
Основная литература:
2. Каменская Е.Н. Социальная психология: конспект лекций. – Ростов н/Д, 2009. – 186 с.
3. Стефаненко Т.Г. Этнопсихология. Учебник. – М.: Аспект пресс, 2007. – 368 с.
Дополнительная литература:
1. Лебон Г. Психология народов и масс. // Райгородский Д.Я. Психология масс. Хрестоматия. – Самара: Издательский Дом «Бахрах», 2001. – С. 5-131.
2. Майерс Д. Социальная психология. СПб.: Питер, 2010. – 794 с. http://www.koob.ru./myers/
Цели изучения темы: формирование представлений об особенностях больших социальных групп.
Задачи изучения темы:
· рассмотреть особенности функционирования больших социальных групп;
· информировать о массовых явлениях в больших диффузных группах;
· научиться анализировать «психологический склад нации».
Учебные вопросы:
1. Сущность и виды больших социальных групп.
2. Психология толпы.
3. Содержание понятий «психологический склад нации» и национальный характер.
Большая социальная группа - это такая совокупность людей, члены которой обладают лишь потенциальной возможностью вступить в личный контакт.
Принадлежность к большой группе определяется следующими характеристиками:
· социальным положением;
· местом жительства;
· общим интересом (например, футбол);
· гражданством;
· национальностью;
· профессией и т.п.
Классификация больших социальных групп представлена на рис. 13. К большим социальным группам относятся структурно и функционально устойчивые организованные долговременные группы, сложившиеся в ходе исторического развития общества - этнические (народности, национальные группы, нации) и социальные классы. Их отличительная особенность в том, что они являются субъектами исторического процесса.
Классы – это большие группы людей, различающиеся: по их месту в исторически определенной системе общественного производства, по их отношению к средствам производства (закрепленному в праве собственности), по их роли в общественной организации труда, следовательно, по способам получения и размерам той доли общественного богатства, которой они располагают.

Рис. 13. Классификация больших социальных групп
Классы возникают как результат развития производства на основе общественного разделения труда и частной собственности на средства производства.
Критерии выделения страт:
· отношение к власти;
· профессия;
· социальный престиж;
· уровень культуры;
· экономическое положение.
Кроме классов (страт) к устойчивым большим социальным группам относят этносы, представленные народностями, нациями и национальными группами.
Этнос – это устойчивая в своем существовании группа людей, осознающих себя ее членами на основе любых признаков, воспринимаемых как этнодифференцирующие (язык, нормы, ценности, историческая память, религия, мифы о предках, национальный характер, народное искусство и т.д.). Подробнее на особенностях национального характера мы остановимся в третьем вопросе данной темы.
Этническая идентичность представляет собой эмоционально-когнитивную идентификацию субъектом себя со своей этнической группой, осознание истории и культуры своего народа, нравственных идеалов, традиций, обрядов, фольклора. Национальность - наиболее доступная форма такой идентификации.
Нация - историческая общность людей, складывающаяся в процессе формирования общности их территории, экономических связей, литературного языка, этнических особенностей культуры и характера. Нация представляет собой этническую общность и складывается из различных племен и народностей. Часто нацию рассматривают как общность принадлежности к определенному государству.
Как можно видеть из рис. 13, стихийные группы делятся на публику, аудиторию и толпу.
Аудитория представляет собой разновидность немногочисленной публики, находящейся в замкнутом помещении с какой-либо определенной целью. Для аудитории проявления стихийности наименее вероятны.
Публика - это форма стихийной группы, в которой элемент стихийности выражен слабее, чем в толпе, поскольку публика представляет собой, как правило, кратковременное собрание людей для совместного времяпрепровождения (концерта, соревнования и пр.). Устойчивость этой группы определяется временем прохождения мероприятия. Существует прямая зависимость между численностью публики и величиной угрозы стихийности и неуправляемости (чем больше публики, тем больше угроза).
Наиболее стихийным и неуправляемым образованием является толпа. Именно рассмотрению видов и особенностей функционирования толпы посвящен второй вопрос данной темы.
Стихийно возникающие на непродолжительное время бесструктурные скопления людей – называют толпой. В таких скоплениях наблюдаются специфические психические явления и закономерности, знание которых позволяет в той или иной мере управлять ими или предупреждать их.
Толпа образуется по поводу каких-либо событий, содержащих зрительный элемент, который и объединяет толпу как общий объект внимания. В толпе в силу пространственной близости быстро возникают сходные эмоциональные состояния: контактность, повышенный конформизм, возбудимость, нетерпимость, склонность к крайностям, чувство безнаказанности и утрата чувства ответственности. Толпа руководствуется эмоциями, поэтому в ней преобладают импульсивность, раздражительность и отсутствует рассудительность и критичность. Специфика толпы такова, что основной фон ее поведения - это агрессивность, которая может по самому незначительному поводу найти свое выражение в самых различных формах.
Выделяют различные виды толпы в зависимости от доминирующих эмоций, мотивирующих ее поведение (таблица 20)[40].
Таблица 20.
|
Виды толпы |
Условия образования |
Доминирующие эмоции и состояния |
Лица, образующие толпу |
Пассивные |
|||
|
Случайная или оказиальная |
Дорожно-транспортные происшествия, пожар, драка и т.п. |
Любопытство |
«Зеваки» |
|
Конвенциальная |
Заранее объявленное мероприятие: митинг, концерт, ритуальные действа, соревнование |
Интерес, причастность |
Активисты, публика, болельщики |
|
Экспрессивная |
Трансформация конвенциальной толпы из-за эмоционального настроя |
Негодование, грусть, радость |
Подверженные эмоциональному заражению |
|
Экстатическая |
Трансформация экспрессивной толпы |
Исступление, экзальтация |
Поклонники на рок-концертах, сектанты и др. |
|
Активные (действующие) |
|||
|
Агрессивная |
Трансформация конвенциальной толпы при ограничениях, чинении препятствий |
Фрустрация, импульсивность, гнев, деструктивность |
Ищущие объект разрядки напряжения |
|
Паническая |
Стихийные бедствия, террористические акты, слухи |
Аффект страха, самоспасение, стремление избежать опасности |
Эмоционально неустойчивые, внушаемые, тревожные, зависимые |
|
Стяжательная |
Дефицит, массовые беспорядки |
Эгоистическая направленность, накопительская ориентация, паразитические наклонности |
Спекулянты, перекупщики, «челноки», грабители, мародеры |
|
Повстанческая |
Восстания, революции |
Недовольство, потребность немедленных изменений |
Недовольные своим положением, статисты - случайные участники спланированного действа |
С целью использования особенностей (энергии) толпы в нее внедряются организаторы, зачинщики-провокаторы, которые и направляют ее действия в нужное русло. В составе толпы обычно можно выделить активистов («ударное ядро»), добросовестно заблуждающихся (статисты), конфликтные лица (психопаты, хулиганы, для которых толпа - их стихия, в которой они безнаказанно находят выход своим эмоциям и наклонностям), эмоционально-неустойчивых, легко внушаемых и заражаемых, любопытствующих (повышают своим вниманием эмоциональное возбуждение толпы).
Чтобы противостоять влиянию толпы, необходимо понимать психические механизмы, вызывающие образование и трансформации толпы и обусловливающие поведение людей. Неизбежно возникающие в толпе эмоциональные состояния усиливаются посредством «циркулярной реакции» - усиления эмоций при их взаимном отражении людьми. Именно в толпе наиболее ярко наблюдаются такие психические феномены как эмоциональное заражение, подражание и внушение.
Психология группы - явление, присущее в той или иной степени всем представителям данной группы, порожденное общими условиями их существования, т.е. социально-экономическими условиями жизни группы[41].
Структура психологии больших социальных групп включает: психический склад, эмоциональную сферу, язык, социальные представления, менталитет людей, составляющих большую группу. Остановимся на данных компонентах чуть подробнее.
Психический склад подразумевает социальный характер и регуляторы социального поведения: ритуалы, обычаи, нравы, традиции, которые выполняют охранительную функцию, поскольку представляют собой проверенные временем наиболее адаптивные формы взаимодействия, воспроизводящие образ жизни группы.
Эмоциональная сфера включает потребности, интересы, ценности, жизненные цели, социальные чувства, настроения.
Осознание личностью своей социальной потребности вызывает интерес, который и побуждает к деятельности, определяя мотив поведения. Мотив есть опредмеченная потребность. Интерес проявляется как обобщенная социальная установка в отношении конкретных занятий, предрасположенность к направленной активности в той или иной социальной сфере. Объекты удовлетворения потребностей являются ценностями. О социальных потребностях человека можно косвенно судить по направленности, интенсивности и приоритетам его деятельности. Основными среди социальных потребностей являются потребности в общении, в достижении успеха, в доминировании и повышении статуса, творческая и познавательная потребности.
Язык - непременная примета существования группы; он может быть как этническим, так и специфическим, свойственным лишь данной группе: профессиональный жаргон, сленг, диалект.
Социальные представления – это осмысление и интерпретация повседневной реальности, социальных явлений какой-либо группой на основе имеющегося опыта. Социальные представления передаются из поколения в поколение. Типичный набор социальных представлений и соответствующих им образцов поведения определяет менталитет группы.
Менталитет группы - интегральная характеристика, система мировоззрения, характера, норм поведения, в которых отражено своеобразие видения и понимания мира представителей данной группы.
Национальный характер – совокупность наиболее устойчивых психологических качеств, сформированных у представителей нации в определенных природных, исторических, экономических и социально-культурных условиях развития.
Источником стереотипных представлений о национальных характерах являются международные анекдоты, т.е. анекдоты, построенные на шаблонном сюжете: представители разных национальностей, попав в одну и ту же ситуацию, реагируют на нее по-разному, в соответствии с теми чертами их национального характера, которые приписывают им на родине анекдота.
Примером, высказываний основанных на стереотипных представлениях о лучших и худших способностях наций выступает следующее: «Рай там, где: повара – французы, механики – немцы, полицейские – англичане, любовники – итальянцы, а организуют все швейцарцы. Ад – где повара англичане, полицейские – немцы, любовники – швейцарцы, механики – французы, а организуют все итальянцы».
Этнопсихология изучает связи между психологическими и культурными переменными при сравнении этнических общностей, а также психологию межэтнических отношений. Основным предметом ее изучения является ментальность, рассматриваемая как синоним следующих понятий: «душа народа», коллективное бессознательное, национальное самосознание, национальный характер. Таким образом, ментальность, или менталитет этнический (национальный) - это система взаимосвязанных представлений, которые регулируют поведение членов данной этнической общности, воспроизводящее свойственный этносу стиль жизни, черты характера, нормы, культуру, мировоззрение, ценности. Этнический менталитет характеризуется устойчивостью, постоянством, консерватизмом, слабо подвержен такому воздействию извне, как идеологическое, административное, правовое или управленческое давление[42].
Термин «социальный характер» широко представлен в трудах Э. Фромма. Для него социальный характер — это связующее звено между психикой индивида и социальной структурой общества. Социальный характер представляет склад характера, общий для большинства членов данной культуры. При этом могут быть использованы описания, содержащиеся в социологической литературе (например, в произведениях О. Бальзака, Т. Драйзера, М. Горького)[43].
Э. Фромм, исходя из особенностей процессов ассимиляции и социализации, выделяет четыре неплодотворные и одну плодотворную ориентации социального характера (см. таблицу 21). В качестве неплодотворных вариантов выступают: рецептивная, эксплуататорская, стяжательская и рыночная ориентации.
Таблица 21.
Виды отношений человека с внешним миром и ориентации социального характера[44]
|
Ассимиляция |
Социализация |
Виды межличностных отношений |
|
Неплодотворная ориентация |
||
|
Рецептивная (берущая) |
Мазохистская (преданность) |
Симбиотический союз |
|
Эксплуататорская (овладевающая) |
Садистская (авторитет) |
|
|
Стяжательская (сберегающая) |
Деструктивная (настойчивость) |
Отстраненность-деструктивность |
|
Рыночная (обменивающая) |
Безразличная (честность) |
|
|
Плодотворная ориентация |
||
|
Деятельная |
Разумная |
Любовь |
Влияние сходных условий существования группы осуществляется двумя путями: через личный жизненный опыт каждого члена, определяемый социально-экономическими условиями жизни всей группы, и через «круг общения», который представлен обычно определенной социальной средой. Поэтому для понимания и объяснения моделей человеческого поведения важно установить принадлежность человека к конкретной большой социальной группе.
1. Прочитайте [5]: текст на с. 55- 97 и решите предлагаемые ниже задачи[45]:
Задача 1. Эрих Фромм, описывая типы характера, выделил характер с рецептивной ориентацией. Одной из черт людей этой ориентации является то, что «им трудно сказать «нет» и они легко впадают в конфликт между верностью и обещанием...
Они чувствуют себя потерянными, будучи предоставленными самим себе, поскольку считают, что ничего неспособны делать без посторонней помощи».
Попробуйте продолжить описание отношений этого человека со знакомыми и незнакомыми людьми.
Задача 2. Эрих Фромм выделил среди характерных человеческих ориентации эксплуататорскую. Одна из ее особенностей состоит в том, что «символом этой ориентации, кажется, может служить язвительная гримаса, которая часто бывает отличительной чертой таких людей... Их установка окрашена смесью враждебности и манипуляции. Каждый человек рассматривается как объект эксплуатации и оценивается по его полезности».
Опишите подробно поведение такого человека в качестве лидера формальной реальной малой группы.
Задача 3. Эрих Фромм описывает стяжательскую ориентацию в характере людей, отмечая выражение лица и жестикуляции этих людей: «У них плотно сжаты губы, у них характерные жесты, погруженных в себя людей... жесты чопорные, как будто эти люди хотят обозначить границы между собой и внешним миром...»
Продолжите описание поведения этого типа человека в малой, контактной, реальной группе, объединенной неформальными отношениями.
Задача 4. Говоря о людях рыночной ориентации, Э.Фромм писал: «тот факт, что чтобы добиться успеха, недостаточно обладать умением и умственным багажом для выполнения поставленной задачи, но нужно еще быть способным вступить в состязание со многими другими, формирует у человека определенную установку по отношению к самому себе».
Опишите подробно содержание этой установки.
Задача 5. Описывая плодотворную ориентацию в характере человека, Э.Фромм говорил о том, что «трагедия человеческой ситуации отчасти в том, что развитие Я никогда не бывает полным; даже при самых лучших условиях реализуется только часть человеческих возможностей. Человек всегда умирает прежде, чем успевает полностью родиться».
Какими качествами личности, по вашему мнению, обладает человек, переживающий такую трагедию?
2. Вспомните свое участие в массовых мероприятиях (на стадионе, на митинге, на рок-концерте и т.п.). Охарактеризуйте свое состояние; опишите, чувствовали ли вы эмоциональное заражение, в чем это проявилось? Приходилось ли вам удерживать себя от каких-либо действий или вы повели себя «как все»?
3. Проанализируйте приводимые отрывки текста[46] и определите о какой национальности (этносе) идет речь? Какие высказывания доказывают вашу точку зрения?
«Самобытность и своеобразная психология этого народа — результат многовекового развития. Бесчисленное количество раз приходилось ему браться за оружие. И после каждого нашествия завоевателей начинал он строить жизнь почти заново — поднимая свою землю из разрухи, возрождая свой народ из пепла. По этой причине, наверное, упорство является одной из наиболее характерных их черт. И еще они отличаются большим трудолюбием, надежностью, скромностью и уважительным отношением к старшим, сослуживцам, а также выносливостью, неприхотливостью в любых условиях, верностью в дружбе.
Специальные прикладные исследования свидетельствуют: большинству из них присущи такие национальные качества, как стремление добросовестно относиться к любому делу, упорно добиваться поставленных целей, деловитость, уважение к порядку, дисциплинированность, доверительное отношение к людям, коммуникабельность, обстоятельность, честность, порядочность, совестливость. Любое дело им не в тягость. Свои профессиональные обязанности они выполняют ревностно, может быть, поэтому при сложившихся обстоятельствах иной вступает в конфликт с теми, кто работает, трудится недобросовестно, пытается переложить ответственность на чужие плечи.
В многонациональных коллективах показывают во всем пример, привносят ответственное отношение в исполнение порученного дела, показывают сознательную приверженность к порядку. И хотя чаще всего немногословны, их присутствие всегда положительно сказывается на настроении товарищей в многонациональном коллективе».
Этнопсихологический словарь.
Широко известны как малоприхотливые люди. Испокон веков они довольствовались тем, что имели, стараясь добыть минимум для пропитания в условиях тяжелой борьбы за существование. Не случайно пословица гласит: «Тому, кто не испытал горечь жизни, никогда не придется оценить ее сладость». Оказала свое влияние и философская идеология, ориентировавшая сознание людей не на прелести загробной жизни, а на довольство минимумом в условиях реальной жизни. Она учила их видеть социальный идеал не в удовлетворении широко возникающих потребностей, а в достижении счастья с тем, что имелось. Простые жители привыкли считать, что счастье зависит не от внешних обстоятельств, а от них самих. В результате неприхотливость, умеренность, приспособляемость, умение наслаждаться жизнью, довольство малым стали целым комплексом взаимосвязанных черт их национального характера.
Образ мышления можно назвать практическим, чуждым ненужным сложностям. Как правило, представитель страны отдаст предпочтение простым интеллектуальным построениям как наиболее доступным и рациональным для запоминания, жизни и деятельности. Он очень редко руководствуется абстрактными принципами, его логика отличается высокой предметностью, показателем чего являются, например, пословицы и поговорки. «Не забывай прошлого, оно учитель будущего», «Пришло счастье — будь бдителен; пришло горе — будь стоек»,- гласит национальная мудрость, и чувствуется истинно практический ум этого народа. Но это совсем не означает, что его мышление примитивно, оно своеобразно. Нужно видеть за его естественной простотой сложное содержание.
Своеобразие исторического, социально-политического, экономического и культурного развития оказало большое влияние на формирование психологии населения, к числу основных черт которой можно отнести: трудолюбие, терпеливость, выносливость, упорство, настойчивость, хладнокровие, выдержку, спокойствие, самоотверженность. По этой причине никакой вид деятельности не оскорбляет, не угнетает и в каждом из них они способны добиться высоких результатов.
Сложные климатические и природные условия страны, необходимость тяжелого, титанического труда обусловили ту исключительную роль, которую всегда играли в стране община и коллективистский труд. В результате у них сформировались и всегда очень ярко проявляются такие национально-психологические качества, как жесткая дисциплина, высокая степень зависимости индивида от группы.
Этнопсихологический словарь.
1. Какие виды больших групп Вы знаете? Кратко охарактеризуйте каждую из них.
2. Почему важно изучать особенности больших социальных групп?
3. Что такое толпа?
4. Каковы критерии выделения видов толп?
5. Каким образом толпа влияет на психологию и поведение человека?
6. В чем суть понятия «национальный характер»?
7. Э. Фромм и его типологическая модель. Дайте характеристику непродуктивных и продуктивной ориентаций характера.
8. В чем сходства и различия между национальными характерами русских и американцев? Ответ аргументируйте.
Базовый учебник:
1. Социальная психология. учебное пособие / Отв ред А. Л Журавлев. М.: ПЕРСЭ, 2002. – 350 с. http://www.koob.ru/zhuravlev_a_l/social_psych
Основная литература:
2. Андреева Г.М. Социальная психология. – М.: Аспект-Пресс, 2009. – 363 с. http://www.koob.ru./andreeva_g_m/
3. Ратанова Т.А., Дымнова Т.И. Социальная психология. – М., 2003. – 194 с.
Дополнительная литература:
1. Лебон Г. Психология народов и масс. // Райгородский Д.Я. Психология масс. Хрестоматия. – Самара: Издательский Дом «Бахрах», 2001. – С. 5-131
2. Нежурина-Кузничная Н.Ю. Популярная этнопсихология. – Мн., Харвест, 2004. – 384 с.
3. Почебут Л.Г. Социальная психология толпы. – СПб.: Речь, 2004. – 240 с.
4. Стефаненко Т.Г. Этнопсихология. Учебник. – М.: Аспект пресс, 2007. – 368 с.
5. Типологическая модель Э. Фромма //Психология и психоанализ характера. Хрестоматия по психологии и типологии характеров / ред.-сост. Д.Я. Райгородский – Самара: Издательский Дом «БАХРАХ», 1997. – С. 24-115.
[1] Социальная психология. учебное пособие /Отв. ред. А. Л. Журавлев. М.: ПЕРСЭ, 2002. – С. 40.
[2] Абрамова Г.С. Сборник задач по социальной психологии и психологии развития. М., 1999. – С. 7-8.
[3] Социальная психология. учебное пособие /Отв. ред. А. Л. Журавлев. М., 2002. – С.66-69.
[4] Социальная психология. учебное пособие /Отв. ред. А. Л. Журавлев. М., 2002. – С.70-72.
[5] Там же. С.75-76.
[6] Цит. по Социальная психология. учебное пособие /Отв. ред. А. Л. Журавлев. М., 2002. – С.75.
[7] Там же. С. 76-77.
[8] Цит. по Социальная психология. учебное пособие /Отв. ред. А. Л. Журавлев. М., 2002. – С.77-79.
[9] Там же. – С.78.
[10] Социальная психология. учебное пособие /Отв. ред. А. Л. Журавлев. М., 2002. – С.81-84.
[11] Цит. по Социальная психология. учебное пособие /Отв. ред. А. Л. Журавлев. М., 2002. – С.83.
[12] Петровский А.В. Проблема развития личности с позиций социальной психологии // Вопросы психологии — 1984 — №4 — C. 15—30. - http://scepsis.ru/library/id_2189.html
[13] Каменская Е.Н. Социальная психология: конспект лекций. – Ростов н/Д, 2009. – С. 164.
[14] Андреева Г.М. Социальная психология. – М.: Аспект-Пресс, 2009, 363 с.
[15] Обозов Н.Н. М+Ж=?! СПб., 2000.
[16] Ратанова Т.А., Дымнова Т.И. Социальная психология. – М., 2003. – С. 67-68.
[17] Березуцкая Ю.П. Психология делового общения. Электронное учебное пособие – Барнаул, 2002. – http://www.psyinst.ru/library.php?part=article&id=1434
[18] Шевандрин Н.И. Социальная психология в образовании. – М.: ВЛАДОС, 1995. – С.106-107.
[19] Андреева Г.М. Социальная психология. – М.: Аспект-Пресс, 2009. –С. 92.
[20] Ратанова Т.А., Дымнова Т.И. Социальная психология. – М., 2003. – С. 77.
[21] Каменская Е.Н. Социальная психология: конспект лекций. – Ростов н/Д, 2009. – С. 161-162.
[22] Каменская Е.Н. Социальная психология: конспект лекций. – Ростов н/Д, 2009. – С. 162.
[23] Макаров В.В., Макарова Г.А. Транзактный анализ – восточная версия. – М., 2008. – С. 139.
[24] Там же – С. 138.
[25] Андреева Г.М. Социальная психология. – М.: Аспект-Пресс, 2009. – С. 125.
[26] Социальная психология. учебное пособие /Отв. ред. А. Л. Журавлев. М., 2002. – С. 139.
[27] Социальная психология. учебное пособие /Отв. ред. А. Л. Журавлев. М., 2002. – С. 138.
[28] Дерябо С.Д, Ясвин В.А. Гроссмейстер общения. - М.: Смысл; СПб.: Питер, 2004.— С. 151.
[29] Барлас Т.В. Психологический практикум для “чайников”: Введение в профессиональную психологию. — М., 2001. —С. 128.
[30] Баранова И.П. Организационное поведение. – М.: Маркет ДС, 2007. – С. 82-86.
[31] Социальная психология / Под ред. А.Л. Журавлева. - М., 2002. - С. 200.
[32] Социальная психология / Под ред. А.Л. Журавлева. - М.: Per Se, 2002. - С. 202.
[33] Социальная психология. учебное пособие /Отв. ред. А. Л. Журавлев. М., 2002. – С. 205.
[34] Каменская Е.Н. Социальная психология: конспект лекций. – Ростов н/Д, 2009. – С. 108-109.
[35] Адизес И. Развитие лидеров: Как понять свой стиль управления и эффективно общаться с носителями иных стилей /Пер. с англ. – М.: Альпина Бизнес Букс, 2008. – 259 с.
[36] Абрамова Г.С. Сборник задач по социальной психологии и психологии развития. М., 1999. – С. 8-9.
[37] Социальная психология. учебное пособие / Отв. ред. А.Л. Журавлев. М.: ПЕРСЭ, 2002. – С. 232.
[38] Там же. С. 232.
[39] Социальная психология. учебное пособие / Отв. ред. А.Л. Журавлев. М.: ПЕРСЭ, 2002. – С. 236-237.
[40] Ратанова Т.А., Дымнова Т.И. Социальная психология. - М., 2003. – С. 140.
[41] Ратанова Т.А., Дымнова Т.И. Социальная психология. - М., 2003. – С. 118.
[42] Ратанова Т.А., Дымнова Т.И. Социальная психология. - М., 2003. – С. 121.
[43] Андреева Г.М. Социальная психология. М., 2009. – С.
[44] Райгородский Д.Я. Психология и психоанализ характера. – Самара: Издательский Дом «Бахрах», 2005. – С. 92.
[45] Абрамова Г.С. Сборник задач по социальной психологии и психологии развития. М., 1999. – С. 10-11.
[46] По материалам: Нежурина-Кузничная Н.Ю. Популярная этнопсихология. – Мн., Харвест, 2004. – 384 с.
ID:0047811